Задание с ответами: химия. ЕГЭ — 2018
Для выполнения задания используйте следующий перечень веществ: перманганат калия, сульфат калия, сульфид натрия, хлорид натрия, сульфат олова (II). Допустимо использование водных растворов веществ.
Из предложенного перечня веществ выберите вещества, между которыми возможна окислительно-восстановительная реакция, и запишите уравнение этой реакции. Составьте электронный баланс, укажите окислитель и восстановитель.
Запишем уравнение реакции:

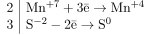
Составим электронный баланс:

Сера в степени окисления −2 (сульфид натрия) является восстановителем. Марганец в степени окисления +7 (перманганат калия) — окислителем.