Задание с ответами: химия. ЕГЭ — 2018
Для выполнения задания используйте следующий перечень веществ: хлорид бария, гидроксид калия, нитрат калия, перманганат калия, сульфит натрия. Допустимо использование водных растворов веществ.
Из предложенного перечня веществ выберите вещества, между которыми возможна окислительно-восстановительная реакция, и запишите уравнение этой реакции. Составьте электронный баланс, укажите окислитель и восстановитель.
Запишем уравнение реакции:

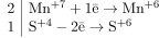
Составим электронный баланс:

Сера в степени окисления +4 (сульфит натрия) является восстановителем. Марганец в степени окисления +7 (перманганат калия) — окислителем.