Задание с ответами: химия. ЕГЭ — 2018
Для выполнения задания используйте следующий перечень веществ: хлорид бария, оксид мышьяка (III), сульфат натрия, нитрат натрия, йод. Допустимо использование водных растворов веществ.
Из предложенного перечня веществ выберите вещества, между которыми возможна окислительно восстановительная реакция, и запишите уравнение этой реакции. Составьте электронный баланс, укажите окислитель и восстановитель.
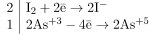
Запишем уравнение реакции:

Составим электронный баланс:

Мышьяк в степени окисления +3 является восстановителем. Йод в степени окисления 0 — окислителем.