Задание с ответами: химия. ЕГЭ — 2018
Для выполнения задания используйте следующий перечень веществ: сульфат калия, оксид марганца (IV), нитрат бария, гидроксид калия, кислород. Допустимо использование водных растворов веществ.
Из предложенного перечня веществ выберите вещества, между которыми возможна окислительно восстановительная реакция, и запишите уравнение этой реакции. Составьте электронный баланс, укажите окислитель и восстановитель.
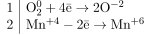
Запишем уравнение реакции:

Составим электронный баланс:

Марганец в степени окисления +4 является восстановителем. Кислород в степени окисления 0 — окислителем.