Задание с ответами: химия. ЕГЭ — 2018
Для выполнения задания используйте следующий перечень веществ: иодид калия, серная кислота, нитрат кобальта (II), сульфит натрия, бромид калия. Допустимо использование водных растворов веществ.
Из предложенного перечня веществ выберите вещества, между которыми возможна окислительно восстановительная реакция, и запишите уравнение этой реакции. Составьте электронный баланс, укажите окислитель и восстановитель.
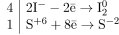
Запишем уравнение реакции:

Составим электронный баланс:

Йод в степени окисления −1 является восстановителем. Сера в степени окисления +6 — окислителем.