Задание с ответами: химия. ЕГЭ — 2018
Для выполнения задания используйте следующий перечень веществ: глюкоза, азотная кислота (конц.), хлорид калия, фторид серебра (I), нитрит калия, фосфид алюминия. Допустимо использование водных растворов веществ.
Из предложенного перечня веществ выберите вещества, между которыми возможна окислительно восстановительная реакция, и запишите уравнение этой реакции. Составьте электронный баланс, укажите окислитель и восстановитель.
Запишем уравнение реакции:

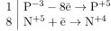
Составим электронный баланс:

Фосфор в степени окисления −3 является восстановителем. Азот в степени окисления +5 — окислителем.