Задание с ответами: химия. ЕГЭ — 2018
Для выполнения задания используйте следующий перечень веществ: хлорид хрома (II), азотная кислота, нитрат стронция, серная кислота, хлорид натрия. Допустимо использование водных растворов веществ.
Из предложенного перечня веществ выберите вещества, между которыми возможна окислительно восстановительная реакция, и запишите уравнение этой реакции. Составьте электронный баланс, укажите окислитель и восстановитель.
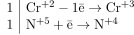
Запишем уравнение реакции:

Составим электронный баланс:

Хром в степени окисления +2 является восстановителем. Азот в степени окисления +5 — окислителем.