Задание с ответами: химия. ЕГЭ — 2018
Для выполнения задания используйте следующий перечень веществ: гидросульфид кальция, азотная кислота, нитрат натрия, нитрат бария, серная кислота. Допустимо использование водных растворов веществ.
Из предложенного перечня веществ выберите вещества, между которыми возможна окислительно-восстановительная реакция, и запишите уравнение этой реакции. Составьте электронный баланс, укажите окислитель и восстановитель.
Запишем уравнение реакции гидросульфида кальция и концентрированной азотной кислоты:

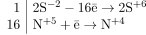
Составим электронный баланс:

Сера в степени окисления −2 является восстановителем. Азот в степени окисления +5 — окислителем