Задание с ответами: химия. ЕГЭ — 2018
Для выполнения задания используйте следующий перечень веществ: нитрит калия, пероксид водорода, хлорид цинка, карбонат аммония, диоксид углерода. Допустимо использование водных растворов веществ.
Из предложенного перечня веществ выберите вещества, между которыми возможна окислительно восстановительная реакция, и запишите уравнение этой реакции. Составьте электронный баланс, укажите окислитель и восстановитель.
Запишем уравнение реакции:

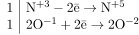
Составим электронный баланс:

Азот в степени окисления +3 является восстановителем, а кислород в степени окисления −1 — окислителем.