Задание с ответами: химия. ЕГЭ — 2018
Для выполнения задания используйте следующий перечень веществ: хлорид фосфора (III), азотная кислота, хлорид бария, нитрат натрия, нитрат серебра (I). Допустимо использование водных растворов веществ.
Из предложенного перечня веществ выберите вещества, между которыми возможна окислительно восстановительная реакция, и запишите уравнение этой реакции. Составьте электронный баланс, укажите окислитель и восстановитель.
Запишем уравнение реакции:

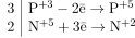
Составим электронный баланс:

Фосфор в степени окисления +3 является восстановителем, а азот в степени окисления +5 — окислителем.