Задание с ответами: химия. ЕГЭ — 2018
Для выполнения задания используйте следующий перечень веществ: сульфат алюминия, сульфид натрия, оксид хрома (III), монооксид углерода, азотистоводородная кислота. Допустимо использование водных растворов веществ.
Из предложенного перечня веществ выберите вещества, между которыми возможна окислительно восстановительная реакция, и запишите уравнение этой реакции. Составьте электронный баланс, укажите окислитель и восстановитель.
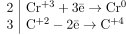
Запишем уравнение реакции:

Составлен электронный баланс:

Углерод в степени окисления +2 является восстановителем, а хром в степени окисления +3 — окислителем.