Задание с ответами: химия. ЕГЭ — 2018
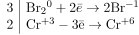
Используя метод электронного баланса, составьте уравнение реакции:

Определите окислитель и восстановитель.
Элементы ответа:
1) Составлен электронный баланс:

2) Расставлены коэффициенты в уравнении реакции:

3) Указано, что хром в степени окисления +3 (или сульфат хрома (III)) является восстановителем, а бром в степени окисления 0 — окислителем.