25.Расчетная задача
Демонстрационный вариант Основнóй госудáрственный экзáмен ОГЭ 2017г. – задание №25
Шары массами 6 и 4 кг, движущиеся навстречу друг другу со скоростью 2 м с каждый относительно Земли, соударяются, после чего движутся вместе. Определите, какое количество теплоты выделится в результате соударения.
Решение:
|
Дано: |
Решение: |
|
m1 = 6 кг m2 = 4 кг υ = 2 м/с
Найти: Q – ? |
Согласно закону сохранения импульса
Отсюда скорость шаров после удара:
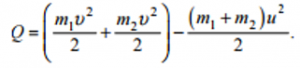
Согласно закону сохранения энергии можно найти выделившееся количество теплоты как изменение кинетической энергии системы тел до и после взаимодействия:
Отсюда:
Ответ: Q = 19,2 Дж |
Ответ:
Q = 19,2 Дж



