30. Электродинамика (расчетная задача)
Демонстрационный вариант Единый государственный экзамен ЕГЭ 2017 г. – задание №30
Конденсатор C1 =1 мкФ заряжен до напряжения U = 300 В и включён в последовательную цепь из резистора R = 300 Ом, незаряженного конденсатора C2 = 2 мкФ и разомкнутого ключа К (см. рисунок). Какое количество теплоты выделится в цепи после замыкания ключа, пока ток в цепи не прекратится?

Решение:
Первоначальный заряд конденсатора C1 равен q = C1U.
В результате перезарядки на конденсаторах устанавливаются одинаковые напряжения, так как ток в цепи прекращается и напряжение на резисторе R становится равным нулю. Поэтому конденсаторы можно считать соединёнными параллельно. Тогда их общая ёмкость C0=C1+C2
По закону сохранения заряда суммарный заряд конденсаторов будет равен C1U.
По закону сохранения энергии выделившееся в цепи количество теплоты равно разности значений энергии конденсаторов в начальном и конечном состояниях:
Откуда получим:
Дж
Ответ: Q = 30 мДж
Демонстрационный вариант Единый государственный экзамен ЕГЭ 2016 г. – задание №31
Источник тока, два резистора и ключ включены в цепь, как показано на рисунке. При разомкнутом ключе на резисторе R1 выделяется мощность P1 = 2 Вт, а на резисторе R2 — мощность P2 = 1 Вт. Какая мощность будет выделяться на резисторе R2 после замыкания ключа К? Внутренним сопротивлением источника пренебречь.

Решение:
Tок в цепи до замыкания ключа К
где ε – ЭДС источника.
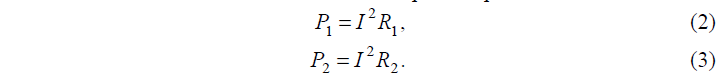
Мощность, выделяемая соответственно на резисторах R1 и R2,
Так как после замыкания ключа ток через резистор R1 не течёт, искомая
мощность, выделяемая на резисторе R2 после замыкания ключа К,
Объединяя (1)–(4), получаем:

Ответ: 9
Единый государственный экзамен ЕГЭ 20.06.2016 по физике. Основная волна. Вариант 1 (Часть С)
Протон влетает в плоский воздушный конденсатор, со скоростью параллельно пластинам конденсатора. Напряжение на конденсаторе
расстояние между пластинами
Какая максимальная длина может быть у пластин, чтобы протон смог вылететь из пространства конденсатора? Силой тяжести пренебречь.
Решение:
Под действием силы со стороны электрического поля в конденсаторе протон движется с направленным вверх ускорением:
В горизонтальном направлении протон пролетает длину пластин за время
Чтобы протон смог вылететь из пространства конденсатора, смещение в вертикальном направлении должно быть меньше
:
Ответ: 0,051 м