21. Алгебраические выражения, уравнения, неравенства и их системы
Демонстрационный вариант 2018-2017 Основнóй госудáрственный экзáмен ОГЭ Математика задание №21 Решите уравнение
.
Решение:
Исходное уравнение приводится к виду:
(x 2 − 4x + 5)(x 2 + 4x − 5)= 0 .
Уравнение x2 − 4x + 5 = 0 не имеет корней.
Уравнение x2 + 4x − 5 = 0 имеет корни −5 и 1.
Ответ: -5; 1
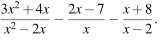
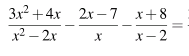
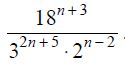
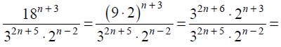
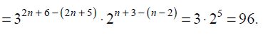
Демонстрационный вариант Основнóй госудáрственный экзáмен ОГЭ 2017 г. – задание №21
Сократите дробь
Решение:
Ответ: 96
Демонстрационный вариант Основнóй госудáрственный экзáмен ОГЭ 2016г. – задание №21



Ответ:
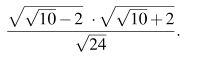
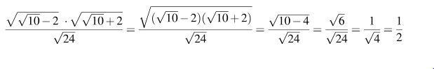
Демонстрационный вариант Основнóй госудáрственный экзáмен ОГЭ 2015г. – задание №21
Упростите выражение

Решение:

Ответ: 


