6. Уравнения, неравенства и их системы
Основнóй госудáрственный экзáмен ОГЭ Математика задание №6 Демонстрационный вариант 2018 Решите уравнение
. Если уравнение имеет более одного корня, в ответ запишите больший из корней.
Решение:
x2+x-12=0
(x-3).(x+4)=0
x=3, x=-4
Ответ: 3
Демонстрационный вариант Основнóй госудáрственный экзáмен ОГЭ 2017 г. – задание №4
Решите уравнение 7х − 9 = 40 .
Решение:
Сначало нужно раскрыть скобки.
8-10x+15=13-6x
Затем перенести все Х в правую часть уравнения.
8-10x+15-13=(-6x)
8+15-13=10x-6x
10=4x
Найти неизвестный множитель, надо произведение разделить на известный множитель.
x=2,5
Ответ: 2,5
Решите уравнение
.
Если корней несколько, запишите их через точку с запятой в порядке возрастания.
Решение:(x-3).(x+2)=0
x1=3; x2=-2
Ответ: -2;3
Решите уравнение:
.
Решение:
}{3 -cdot 2}--frac{2 -cdot x}{2 -cdot 3}=3 -Rightarrow -frac{3x-18-2x}{6}=3 -Rightarrow x-18 = 18 -Rightarrow x=36.png)
Ответ: 36
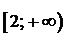
Найдите наибольшее значение x, удовлетворяющее системе неравенств

⇒ ⇒

Значит, наибольшее значение x удовлетворяющее данной системе неравенств −3.
Ответ: -3
Решите систему уравнений 
В ответе запишите сумму решений системы.
Решение:Решим систему методом подстановки:
5x-y=7 ⇒ y=5x-7
3x+2y=-1 ⇒ 3x+2(5x-7)=-1 ⇒ 3x+10x-14=-1 ⇒ 13x=13 ⇒ x=1
y=5x-7 ⇒ y=5.1-7=-2
1-2=-1
Решите уравнение -x-2+3(x-3)=3(4-x)-3. Решение:
-x-2+3(x-3)=3(4-x)-3.
-x-2+3x-9=12-3x-3
-x+3x+3x=12-3+2+9
5x=20
x=4
Ответ: 4
Найдите корень уравнения -4x-9 = 6x.
Решение:Перенесем иксы в правую часть уравнения, а числа – в левую, получим:

Ответ: -0,9.
Источник: И.В. Ященко. Типовые экзаменационные варианты
Решите уравнение x2 – 36 = 0. Если уравнение имеет более одного корня, в ответ запишите больший из корней.
Решение:Решим уравнение, получим:

Получаем два корня -6 и 6. Наибольший из них – число 6.
Ответ: 6.
Источник: И.В. Ященко. Типовые экзаменационные варианты
Укажите решение системы неравенств

1) 
2) 
3) 
4) 
перенесем числа в другую сторону и получим: x<=2,6;x>=1+1=2 Ответ:1)
Источник: ФИПИ
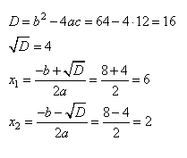
Решите уравнение x2-8x+12 = 0. Если уравнение имеет более одного корня, в ответ запишите больший из корней.
Решение:Решим квадратное уравнение с помощью дискриминанта, получим:

Больший из корней равен 6.
Ответ: 6.
Источник: И.В. Ященко. Типовые экзаменационные варианты
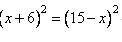
Найдите корень уравнения

Возведем обе части уравнения в квадрат и упростим, получим:

Ответ: 4,5.
Источник: И.В. Ященко. Типовые экзаменационные варианты
Найдите корень уравнения 10(x+2) = -7.
Решение:Упростим и вычислим корень уравнения, имеем:

Ответ: -2,7.
Источник: И.В. Ященко. Типовые экзаменационные варианты
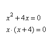
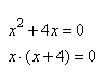
Решите уравнение 5x2 + 20x = 0. Если уравнение имеет более одного корня, в ответе запишите меньший из корней.
Решение:Перепишем выражение в виде

Получаем два уравнения:

Меньшее значение равно -4.
Ответ: -4.
Источник: И.В. Ященко. Типовые экзаменационные варианты
Решите систему уравнений

Выразим у из первого выражения и подставим во второе
у=6-3х2
4x2-6+3x2-1=0
7x2-7=0
x2=1
x=+-1
для х=1 у=6-3=3
для х=-1 у=6-3=3
Ответ:(1;3);(-1;3)
Источник: ФИПИ
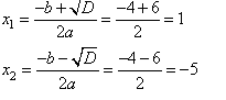
Решите уравнение x2 + 4x = 5. Если уравнение имеет более одного корня, в ответе запишите меньший из корней.
Решение:Решим квадратное уравнение

с использованием дискриминанта, получим:

тогда

Меньший из корней равен -5.
Ответ: -5.
Источник: И.В. Ященко. Типовые экзаменационные варианты
Решите уравнение 5x2 + 20x = 0. Если уравнение имеет более одного корня, в ответе запишите меньший из корней.
Решение:Перепишем уравнение в виде

отсюда имеем два корня:

и меньший из корней равен -4.
Ответ: -4.
Источник: И.В. Ященко. Типовые экзаменационные варианты
Ответ: -4.