4. Числа, вычисления и алгебраические выражения
Основнóй госудáрственный экзáмен ОГЭ Математика задание №4 Демонстрационный вариант 2018
Найдите значение выражения 
Решение:

Ответ: 165
Основнóй госудáрственный экзáмен ОГЭ Математика задание №3 Демонстрационный вариант 2017
Значение какого из выражений является рациональным числом?
1) 
2) 
3) ^{2}.png)
4) ^{2}.png)
Расположите в порядке убывания числа: 
В ответе укажите номер правильного варианта.
1) 
2) 
3) 
4) 
Какое из следующих выражений равно
?
В ответе укажите номер правильного варианта.
1) 
2) 
3) 
4) 
Найдите значение выражения
при
.
В ответе укажите номер правильного варианта.
1) −125
2) 125
3) 
4) 
Найдите значение выражения.

1) 2√6;
2) 2;
3) 12;
4) 4√6.
Решение:
Упростим и вычислим выражение следующим образом:

верный ответ под номером 2.
Ответ: 2)
Источник: И.В. Ященко. Типовые экзаменационные варианты
Какое из данных ниже выражений при любых значениях n равно произведению 144*12^n?
1)
;
2)
;
3)
;
4)
.
Решение:
Число 144 – это
, следовательно,

Этому выражению соответствует ответ под номером 4.
Ответ: 4)
Источник: И.В. Ященко. Типовые экзаменационные варианты
Найдите значение выражения.

1) 70;
2) 102+8√86;
3) 102+4√86;
4) 70+8√86
Решение:
Раскроем квадрат, получим:

что соответствует ответу под номером 2.
Ответ: 2)
Источник: И.В. Ященко. Типовые экзаменационные варианты
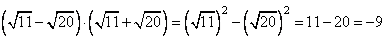
Значение какого из данных ниже выражений является числом рациональным?
1) √17*√19;
2) (√11-√20)*( √11+√20);
3) √48:√40;
4) √45*2√5
Решение:
В данном задании важно, чтобы в конечном значении числа не было корней. Проанализируем варианты, имеем:
1) – не рациональное;

2) рациональное;

3) – не рациональное;

4) – рациональное.

Таким образом, имеем два рациональных числа под номерами 2 и 4.
Ответ: 2;4.
Источник: И.В. Ященко. Типовые экзаменационные варианты
Какое из данных ниже чисел является значением выражения:
?
1) 
2) 
3) 
4) 
Решение:
разложим 32 и 18 на множители
32=16*2
19=9*2
Таким образом 16 и 9 выходят из под корня как 4 и 3.Получаем 7корень из 2.
Ответ:1)
Источник: ФИПИ
Найдите значение выражения √343: √7
1) 7√7;
2) 49√7;
3) 7;
4) 49
Решение:
Упростим выражение, получим:

что соответствует ответу под номером 3.
Ответ: 3.
Источник: И.В. Ященко. Типовые экзаменационные варианты
Найдите значение выражения
1) 1;
2) 1/2;
3) 1/3;
4) 1/6
Решение:
Вычислим выражение, получим:

что соответствует ответу под номером 2.
Ответ: 2.
Источник: И.В. Ященко. Типовые экзаменационные варианты
Значение какого из данных ниже выражений является наибольшим?
1) 4√15;
2) 7√5;
3) 15,5;
4) 9√3
Решение:
возведем их в квадрат и выберем наибольший квадрат числа, получим:
1)
;
2) 
3)
;
4)
.
Как видно из полученных квадратов чисел, наибольший квадрат соответствует варианту под номером 2, следовательно, это число наибольшее.
Ответ: 2.
Источник: И.В. Ященко. Типовые экзаменационные варианты
Найдите значение выражения

1) 41-3√32;
2) 23;
3) 41-6√32;
4) 23-6√32
Решение:
Раскроем квадрат, получим число:

что соответствует 3-му варианту ответа.
Ответ: 3.
Источник: И.В. Ященко. Типовые экзаменационные варианты
Какое из данных ниже выражений при любых значениях k равно степени

1)
;
2) 
3) 
4) 
Решение:
Вспомним, что при делении чисел их степени вычитаются, то есть
. В данном задании имеем запись
, что эквивалентно записи вида
, то есть варианту ответа под номером 1.
Ответ: 1.
Источник: И.В. Ященко. Типовые экзаменационные варианты