Итоговая контрольная работа по алгебре 7 класс
Итоговая контрольная работа по алгебре 7 класс – Контрольные работы по алгебре 7 класс
Вариант 1
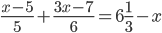
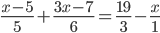
1. Упростите выражение: ^5.png)
2. Разложите на множители: 
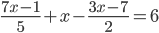
3. Решите уравнение: 
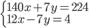
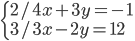
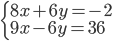
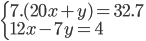
4. Решите систему уравнений: +3(4x+y)=32, --
5(4x-y)-2(4x+y)=4..png)
5. Составьте уравнение прямой, проходящей через дан ные точки: A(1; 7) и В(-1; 3), и постройте ее. Отметьте на построенной прямой точки А и В.
6. Яхта проходит за 10 часов против течения реки такое же расстояние, какое за 8 часов по течению. Найдите скорость течения реки, если собственная скорость яхты равна 18 км/час.
1. Ответ: 
^5.png)
^5a^5(b^2)^5.png)
a^5b^{10}.png)
a^2a^5b^3b^{10}.png)

2. Ответ: (2x+y).png)

.png)
^2-y^2).png)
(2x+y).png)
3. Ответ: 5


}{6.5} + -frac{5.(3x-7)}{5.6}=-frac{10.19}{10.3}--frac{30.x}{30.1}.png)





4. Ответ: .png)
+3(4x+y)=32, --
5(4x-y)-2(4x+y)=4..png)


=32.7 -- 12x-7y=4.png)




При
;

5. Ответ: 
y=kx+b
A(1;7), B(-1;3)
7=k.1+b => 7=k+b
3=k.(-1)+b=> 3=-k+b
10=2b => b=5
7=k+b => 7=k+5 => k=2
y=2x+5
6. Ответ: 2 км/час
скорость яхты = a
скорость течения реки = b
Вариант 2
1. Сократите дробь: 
2. Разложите на множители: 2ху-6у2
3. Решите уравнение: 
4. 
5. Постройте график функции y = 1,5x – 6. Проходит ли график через точку М (-20; 46)?
6. Автомобиль за 3 часа пути проехал на 10 км больше, чем автобус за 4 ч. Найдите скорость автобуса, если она на 20 км/ч меньше скорости автомобиля.
1. }{(b-2a)(b+2a)}=-frac{-7a}{b-2a}.png)
2. 2y(x-3y)
3. Ответ: 3






4. Ответ: (2;-3)



4x+3y=-1
4.2+3y=-1
3y=-9
y=-3
5. Решение.
1) Вjзьмем два каких-либо значения х и вычислим соответствующие им значения у:
При х = 0, у = -6; при х = 6, у = 3.
2) Отметим на координатной плоскости точки А(0;-6) и В(6;-3).
3) Проведём через эти точки прямую. Эта прямая и есть искомый график.
Проходит ли график через точку М (-20; 46)? x=-20 и y=46
46 = 1,5∙(-20)–6
46 = -36
График функции не проходит через точку М (-20; 46).
6. Ответ: 50 км/ч.
Пусть х км/ч – скорость автобуса, тогда скорость автомобиля – (х+20) км/ч. Автомобиль проехал за 3 часа 3(х+20) км, а автобус за 4 часа – 4х км. По условию задачи автомобиль проехал на 10 км больше, чем автобус. Составим уравнение:
4х+10 = 3(х+20)
4х+10 = 3х+60
4х-3х = 60-10
х= 50 (км/ч) – скорость автобуса
