10. Задачи с прикладным содержанием
Демонстрационный вариант Единый государственный экзамен ЕГЭ 2017-2018 г. – задание №10. Найдите частоту отражённого сигнала (в МГц), если батискаф погружается со скоростью 2 м/с.
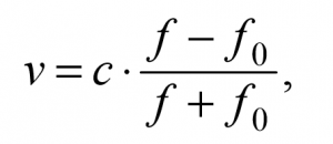
Локатор батискафа, равномерно погружающегося вертикально вниз, испускает ультразвуковой сигнал частотой 749 МГц. Приёмник регистрирует частоту сигнала, отражённого от дна океана. Скорость погружения батискафа (в м/с) и частоты связаны соотношением

где 1500 c= м/с — скорость звука в воде; 0 f — частота испускаемого сигнала (в МГц); f — частота отражённого сигнала ( в МГц). Найдите частоту отражённого сигнала (в МГц), если батискаф погружается со скоростью 2 м/с.
Решение:
Подставим в формулу то, что нам известно:
2=1500⋅((f−749)/(f+749))
Преобразуем это выражение. Сначала домножим на знаменатель (он не может равняться нулю, так как частота всегда положительна).
2=1500⋅((f−749)/(f+7492))
2(f+749)=1500(f-749)
2f+2⋅749=1500f−1500⋅749
2⋅749+1500⋅749=1498f
749(2+1500)=1498f
f=(749⋅1502)/1498=751
Ответ: 751