8. Геометрия многоугольников
Демонстрационный вариант Единый государственный экзамен ЕГЭ 2018 – 2017 г. – задание №8 Дачный участок имеет форму прямоугольника со сторонами 25 метров и 30 метров. Хозяин планирует обнести его забором и разделить таким же забором на две части, одна из которых имеет форму квадрата. Найдите суммарную длину забора в метрах.

Решение:
Можно найти периметр прямоугольника, а затем просто прибавить разделительный отрезок длиной 25.
+25=110+25=135.png)
Ответ: 135
ИЛИ
Какой угол (в градусах) образуют минутная и часовая стрелки в 16:00?
Решение:
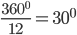
Цифирблат имеет форму окружности, на нем 12 делений, поэтому
(градусная величина между делениями)
Когда стрелки показывают 16:00, между ними 4 деления, поэтому

Ответ: 120
ИЛИ
План местности разбит на клетки. Каждая клетка обозначает квадрат 1 м × 1 м. Найдите площадь участка, изображенного на плане. Ответ дайте в квадратных метрах.

Решение:

Сначала найдем площадь четырехугольника:

Затем найдем площадь треугольника:

Сложим площади фигур:

Ответ: 12
Демонстрационный вариант Единый государственный экзамен ЕГЭ 2016 г. (досрочный) – задание №8
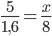
На каком расстоянии (в метрах) от фонаря стоит человек ростом
м, если длина его тени равна
м, высота фонаря
м?

Решение:
Рассмотрим подобие треугольников. Синего и красного

Составляем пропорцию относительно сторон подобных треугольников:
Отсюда находим
:


Ответ: 17
Демонстрационный вариант Единый государственный экзамен ЕГЭ 2016 г. – задание №8
План местности разбит на клетки. Каждая клетка обозначает квадрат 1 м × 1 м. Найдите площадь участка, изображенного на плане. Ответ дайте в квадратных метрах.

Решение:
Найдем и сложим площади двух прямоугольников(красного и синего):
:

Ответ: 8