4. Преобразования выражений
Демонстрационный вариант Единый государственный экзамен ЕГЭ 2018 – 2017 г. – задание №4 Найдите m из равенства
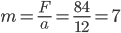
, если
и 
Решение:
Преобразуем формулу и найдем
:

Ответ: 7
ИЛИ
Найдите
из равенства
, если
,
и
.
Решение:
Преобразуем формулу и найдем
:

Ответ: 6
ИЛИ
Найдите
из равенства
, если
,
и
.
Решение:

Ответ: 8
Демонстрационный вариант Единый государственный экзамен ЕГЭ 2016 г. (досрочный) – задание №4
Мощность постоянного тока (в ваттах) вычисляется по формуле
, где
— сила тока (в амперах),
— сопротивление (в омах). Пользуясь этой формулой, найдите мощность P (в ваттах), если сопротивление составляет
Ом, а сила тока равна
А.
Решение:
Подставляем числовые значения в формулу:
Вт
Ответ: 224
Найдите значение переменной из равенства
Найдите
из равенства
, если
,
,
.
Решение:
Преобразуем данную формулу и подставляем значения:


Ответ: 10,8
Найдите значение переменной из равенства
Найдите
из равенства
, если
,
,
.
Решение:
Преобразуем данную формулу и подставляем значения:


Ответ: 7
Найдите значение переменной из равенства
Найдите
из равенства
, если
и
.
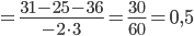
Решение:
Преобразуем данную формулу и подставляем значения:


отсюда 
(не удовлетворяет
)
Ответ: 3
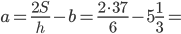
Найдите значение переменной из равенства
Найдите
из равенства если
и
,
,
.
Решение:
Преобразуем данную формулу и подставляем значения:


Ответ:0,5