Контрольные работы по алгебре 9 класс
Контрольные работы по алгебре 9 класс
Итоговая контрольная работа по алгебре 9 класс
1. Решите уравнение:
а) 
б) ^4+(x-3)^2(x+3)^2-20(x+3)^4=0.png)
2. Решите неравенство:
а) 
б) 
3. Решите систему:

4. а) Постройте график функции
. Найдите промежутки возрастания функции.
б) Постройте график функции
. Найдите промежутки монотонности функции.
5. Сумма трех чисел, составляющих арифметическую прогрессию, равна произведению первого и второго чисел и равна 21. Найдите эти три числа.
6. Докажите тождество:

1. а) -5;-2;2;5



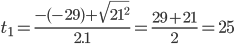
^2-4.1.100=841-400=441=21^2.png)
+-sqrt{21^2}}{2.1}=-frac{29+21}{2}=25.png)
--sqrt{21^2}}{2.1}=-frac{29-21}{2}=4.png)


б) -9;-1
2. а) 
^2-4.3.2=49-24=25=5^2.png)
+-sqrt{5^2}}{2.3}=-frac{7+5}{6}=2.png)
--sqrt{5^2}}{2.3}=-frac{7-5}{6}=-frac{1}{3}.png)
б) .png)

+(x-1) -geq 0.png)
(x^1+1) -geq 0.png)
x≥1
3. (1;3);(3;1)

xy=a ; x+y=b
a+b=7 ⇒ a=7-b
ab=12 ⇒ (7-b).b=12 ⇒ 7-b2-12=0
Δ=49-4.(-1).(-12)=1
b1=4;b2=3
a1=7-b1 ⇒ a1=7-4=3
a2=7-b2 ⇒ a2=7-3=4
(a1;b1)=(3;4) или (4;3 Δ<0)
xy=a1=3 ; x+y=b1=4 ⇒ x=4-y
(4-y)y=3
4-y2-3=0
Δ=16-4.(-1).(-3)=4
y1=3;y2=1
xy1=3 ⇒ x.3=3 ⇒ x1=1
xy2=3⇒ x.1=3 ⇒ x2=3
(3;1) (1;3)
4. а) (-∞;3)
б) Убывает на промежутках (-∞;0] ∪ [1,5;3). Возрастает на промежутках [0;1,5) ∪ [3;+∞)
5. 3;7;11
6. 



