Контрольные работы по алгебре и начала анализа 10 класс
Контрольные работы по алгебре и начала анализа 10 класс
Итоговая контрольная работа по алгебре и начала анализа 10 класс
Част 1
1. Найдите длину промежутка возрастания функции график которой изображен на рисунке.
2. Найдите сумму наибольшего и наименьшего значений функции =-frac{5-6cosx}{100}.png)
3. Упростите выражение 
4. На рисунке изображен график функции y=f(x) и касательная к нему в точке с абциссой х0. найдите значение производной этой функции в точке x0.
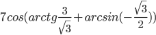
5. Найдите значение
, где T0 наименший положительный период функции
.
6. Найдите тангенс угла наклона касательной к положительному направлению оси абсцисс, проведенной к графику функции
в точке с абсциссой x0=-2.
7. Функция y=f(x) определена на всей числовой прямой и является периодической с периодом 3.
На промежутке [-1;2) она задается формулой
.
Найдите значение выражения
.
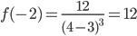
8. Найдите наибольшее значение функции
, если
.
9. Вычислите:
.
10. Сколько корней имеет уравнение:
.
11. На рисунке изображен график производной функции y=f ′ (x), заданной на промежутке (a;b). Исследуйте функцию y=f(x) на монотонность и в ответе укажите число промежутков убывания.
12. При каком наибольшем значении параметра p функция
возрастает на всей числовой прямой?
Част 2
1. Решите систему уравнений

2. Найдите множество значений функции
, если
.
3. Составьте уравнение касательной к графику функции
, отсекающий на положительных направлениях осей координат равные отрезки.
4. Найдите все значения параметра a при которых уравнение
имеет решение.
Част 1
1. 3
x ∈ [1;3]
2. 0,1
Косинус меняется от -1 до 1. При cos x = -1 функция равна (5+6)/100=11/100=0,11,
при cos x = 1 функция равна (5-6)/100=-0,01.
Сумма: 0,11-0,01=0,1
3. -0,2

}=.png)
=--frac{1}{5}=-0,2.png)
4. 1,5
Значение производной в точке касания равно угловому коэффициенту касательной, который в свою очередь равен тангенсу угла наклона данной касательной к оси абсцисс.
6/4=1,5
5. 2
6. 12
}{g(x)})^'=-frac{f^'(x).g(x)-f(x).g^'(x)}{g^2(x)}.png)
))^'=f^'(g(x)).g^'(x).png)
=-frac{1}{(x^2-3)^3}.png)
=-frac{-1.3(x^2-3)^2.2x}{(x^2-3)^6}=-frac{-6x.(x^2-3)^2}{(x^2-3)^6}=-frac{-6x}{(x^2-3)^3}.png)
=-frac{12}{(4-3)^3}=12.png)
7. 2,5
8. -3
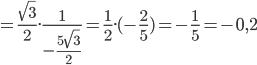
9. 7
)=7cos(-frac{-pi}{3}+(--frac{-pi}{3}))=7cos0=7.1=7.png)
10. 0
11. 1
функция имеет 1 промежуток убывания
12. 9
=x^3+px^2+3px-10.png)
=3x^2+2px+3p.png)
Δ=4p2-4.9p
4p2-4.9p ≥ 0
4p(p-9) ≥ 0
p=0; p=9
9>0
Част 2
1. , n-in Z.png)
, k-in Z.png)
2. 
3. 
4. [-7;7]





