Контрольные работы по математике 6 класс
Контрольные работы по математике 6 класс
Итоговая контрольная работа по математике 6 класс
Вариант 1
1. Найдите значение выражения:
-(--frac{2}{3}+8,5).png)
2. Решите уравнение:
 = 2,3x-17,1.png)
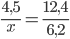
3. Найдите неизвестный член пропорции:

4. На сколько процентов уменьшится дробь если ее числитель уменьшить на 40%, а знаменатель увеличить на 20%?
5. Задано число 156. Найдите все его делители.
6. Найдите НОК.
а) 32 и 24;
б) 17 и 51.
7. Садовник должен посадить 56 яблонь. В первый день он посадил
от всех яблонь, а во второй день посадил оставшиеся деревья. Сколько яблонь он посадил в первый и во второй дни?
8. Расстояние между селами на карте равно 3,6 см. Найдите расстояние между селами на местности, если масштаб карты 1 : 200 000.
Ответы
1. 
2. 
3. x=100
4. На 50%
5. 1,2,3,4,6,12,13,26,39,52,78,156.
6. а) НОК(32,24)=96; б) НОК(17,51)=51.
7. В первый день – 21 яблоню, во второй день – 35 яблонь.
8. 7,2 км
Вариант 2
1. .png)
2. =0.png)
3. 
4. Девочка прочитала в 4 раза меньше страниц книги,чем ей осталось прочитать. После того как она прочитала еще 30 страниц,количество прочитанных страниц стало равно количеству оставшихся. Сколько страниц было в книге?
5. Разложите число 162 на простые множители.
6. Найдите НОД.
а) 28 и 142;
б) 72 и 42.
7. Найдите длину окружности, если ее радиус равен 70 см. Значение Пи=3,1.
8. Расстояние между селами на местности равно 12,8 км. Найдите расстояние между селами на карте, если масштаб карты 1 : 400 000.
Ответы
1. 
2. 
3. 
4. 100 страниц
5. 1,2,3
6. а) НОД(28,142)=2; б) НОД(72,42)=6.
7. 434 см.
8. 3,2 см
Вариант 3
1. .1,5.png)
2. Найти неизвестный член пропорции. 
3. Решить уравнение. 4х – 2,55 = -2х + 1,05
4. Найдите наименьший общий знаменатель дробей
и 
5. Во время субботника заводом было выпущено 150 холодильников.
этих холодильников было отправлено в больницы, а 60% оставшихся – в детские сады. Сколько холодильников было отправлено в детские сады?
6. На второй полке стояло в 4 раза больше книг, чем на первой. Когда на первую полку поставили еще 35 книг, а со второй убрали 25 книг, то на обоих полках книг стало поровну. Сколько книг было на каждой полке первоначально?
7. Теплоход прошел расстояние между пристанями со скоростью 40 км/ч за 4,5 ч. С какой скоростью должен идти теплоход, чтобы пройти это расстояние за 3,6 ч?
8. Постройте треугольник АВС найдите его площадь, если А(1;4), В(1;1), С(5;1).
Ответы
1. 
2. 14,4
3. 0,6
4. 140
5. 30 холодильников
6. 20 и 80 книг
7. 50 км/ч
8. 6
Вариант 4
1. .png)
2. Найти неизвестный член пропорции: 
3. Решить уравнение: 8х – 3,7 = -3х + 0,7
4. Приведите дроби
и
к наименьшему общему знаменателю.
5. Завод изготовил сверх плана 120 автомобилей.
этих автомобилей отправили строителям гидростанции, а 80% остатка – в рисоводческий совхоз. Сколько автомобилей было отправлено в рисоводческий совхоз?
6. В саду яблонь было в 3 раза больше, чем слив. После того, как 14 яблонь вырубили и посадили 10 слив, деревьев обоих видов в саду стало поровну. Сколько яблонь и сколько слив было в саду первоначально?
7. Поезд путь от одной станции до другой прошел за 3,5 ч со скоростью 70 км/ч. С какой скоростью должен был бы идти поезд, чтобы пройти этот путь за 4,9 ч?
8. Постройте треугольник ABC и найдите его площадь, если A(2;5), B(2;1), C(4;1).
Ответы
1. -5,4
2. 2,25
3. 0,4
4. 126
5. 24 автомобиля
6. 12 слив и 36 яблонь
7. 50 км/ч
8. 4