12. Алгебраические выражения
Основнóй госудáрственный экзáмен ОГЭ Математика задание №12 Демонстрационный вариант 2018-2017 Найдите значение выражения
при a = 9, b = 36 .
Демонстрационный вариант Основнóй госудáрственный экзáмен ОГЭ 2016 г. – задание №7
Сократите дробь:
.
Демонстрационный вариант Основнóй госудáрственный экзáмен ОГЭ 2015 г. – задание №7
В каком случае преобразование выполнено верно?
1) (b+4)=&space;b^2-16.gif)
2) (3-4b)=&space;(1-b)(4b-3).gif)
3) (3-2b)=&space;3+b-2b^2.gif)
4) ^2=&space;b^2-4a+16.gif)
Найдите значение выражения 42/(7a-a2) – 6/a при a=2.
Показать решение...Решение:
Сначала перепишем выражение в виде

и вычислим, подставив вместо а значение 2, получим:

Ответ: 1,2.
Источник: И.В. Ященко. Типовые экзаменационные варианты
Найдите значение выражения

Решение:
Упростим выражение, получим:

и при имеем:

Ответ: 5.
Источник: И.В. Ященко. Типовые экзаменационные варианты
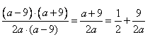
Найдите значение выражения
при a=1,5.
Решение:
Сначала упростим выражение, приведем его к виду

и вычислим при a=1,5, получим:

Ответ: 3,5.
Источник: И.В. Ященко. Типовые экзаменационные варианты
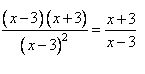
Найдите значение выражения
при x=-1,8.
Решение:
Сначала упростим выражение, получим:

и вычислим при
имеем:

Ответ: -2,5.
Источник: И.В. Ященко. Типовые экзаменационные варианты
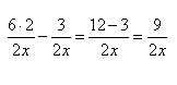
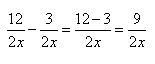
Найдите значение выражения
при x=-21.
Решение:
Сначала упростим выражение, получим:

и вычислим при
имеем:

Ответ: 0,75.
Источник: И.В. Ященко. Типовые экзаменационные варианты
Найдите значение выражения
при a=8, b=40.
Решение:
Упростим выражение, приведем его к виду:

и вычислим при заданных a и b, получим:

Ответ: 1,6.
Источник: И.В. Ященко. Типовые экзаменационные варианты
Найдите значение выражения
при a=5, c=26.
Решение:
Сначала упростим выражение, запишем его в виде:

Вычислим полученное выражение, получим:

Ответ: 5,2.
Источник: И.В. Ященко. Типовые экзаменационные варианты
Найдите значение выражения
при 
Решение:
Упростим выражение, представим его в виде:

Вычислим полученное выражение при заданных a и b, получим:

Ответ: 84.
Источник: И.В. Ященко. Типовые экзаменационные варианты
Найдите значение выражения
при x = -1,8.
Решение:
Упростим выражение, чтобы его проще было вычислять, получим:

и подставим вместо x=-1,8, имеем:

Ответ: -2,5.
Источник: И.В. Ященко. Типовые экзаменационные варианты
Найдите значение выражения
при a=-8.
Решение:
Упростим выражение для сокращения последующих вычислений, получим:

Подставим в последнее выражение a=-8, имеем:

Ответ: 0,4.
Источник: И.В. Ященко. Типовые экзаменационные варианты