11. Арифметические и геометрические прогрессии
Основнóй госудáрственный экзáмен ОГЭ Математика задание №11 Демонстрационный вариант 2018-2017 В последовательности чисел первое число равно 6, а каждое следующее больше предыдущего на 4. Найдите пятнадцатое число.
Демонстрационный вариант Основнóй госудáрственный экзáмен ОГЭ 2016 г. – задание №6 Модуль «Алгебра»
Последовательность задана условиями
,
. Найдите
.
Демонстрационный вариант Основнóй госудáрственный экзáмен ОГЭ 2015 г. – задание №6
Выписаны первые несколько членов арифметической прогрессии: − 7; − 5; − 3; … Найдите сумму первых пятидесяти её членов.
Решение:
Находим а50
а50=-7+2*(50-1)
а50=91
Находим сумму
S50=(-7+91)/2*50
S50=2100
Ответ: 2100
Выписано несколько последовательных членов геометрической прогрессии:
…; -6; х; -24; -48 ; …
Найдите х.
Решение:
Знаменатель геометрической прогрессии 
Ответ: -12
Найдите количество отрицательных членов числовой последовательности, заданной формулой
=1−
Решение:
=1−
104>6n−5
6n<109
n<18
⇒n=18
Ответ: 18
Выписано несколько последовательных членов арифметической прогрессии:
…, -10; х; -14; -16; …
Найдите х.
Решение:
Разность геометрической прогрессии x-(-10)=-16-(-14)
x+10=-16+14=>x=-12
Ответ: -12
Найдите количество отрицательных членов числовой последовательности, заданной формулой
=1−
Решение:
=1−
<0
1<
4n+3<95
4n<92
n<23 ⇒ n=22
Ответ: 22
Выписано несколько последовательных членов арифметической прогрессии: …; 8; x; 16; 20; … Найдите х.
Решение:
Из приведенных чисел видно, что
, и тогда 
Ответ: 12.
Источник: И.В. Ященко. Типовые экзаменационные варианты
Последовательность
задано условиями: 
Найдите 
Решение:
Из формулы зависимости
последовательно вычислим все члены до 6, получим:

из первых полученных значений видно, что далее все чередуется, то есть .

Ответ: -2.
Источник: И.В. Ященко. Типовые экзаменационные варианты
Выписаны первые несколько членов геометрической прогрессии: -250; 150; -90; … Найдите её пятый член.
Решение:

Первый член прогрессии равен
, тогда пятый ее член можно найти по формуле

и равен

Ответ: -32,4.
Источник: И.В. Ященко. Типовые экзаменационные варианты
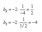
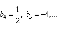
Последовательность (bn) задана условиями: b1=-6,
Найдите b5.
Решение:
Найдем значение
вычисляя по порядку значения членов последовательности, получим:

видим, что последующие члены чередуются в этом порядке, то есть их можно найти не вычисляя:

Ответ: -6.
Источник: И.В. Ященко. Типовые экзаменационные варианты
Дана арифметическая прогрессия ( an ), разность которой равна -5, a1 = 9,2. Найдите a11.
Решение:
Арифметическая прогрессия – это последовательность вида
где – d разность прогрессии. Так как то по формуле арифметической прогрессии , величина

Ответ: -40,8.
Источник: И.В. Ященко. Типовые экзаменационные варианты
Последовательность (an), n>1, задана формулой . Сколько членов этой последовательности больше 6?
Решение:

Упростим выражение, получим неравенство:

Так как число n должно быть целым, то наибольшее целое будет равно n=10,
Ответ: 10
Источник: И.В. Ященко. Типовые экзаменационные варианты
Последовательность (cn) задана условиями: c1 = 5
Найдите c6.
Решение:
Приведенный закон изменения членов последовательности соответствует арифметической прогрессии с разностью . В задаче дан первый член этой прогрессии , тогда 6-й член можно найти по формуле n-го члена арифметической прогрессии
при n=6:

Ответ: -15.
Источник: И.В. Ященко. Типовые экзаменационные варианты
Выписано несколько последовательных членов геометрической прогрессии: -6; x; -24; -48; … Найдите х.
Решение:
Вычислим данный множитель, зная два подряд идущих члена прогрессии

Получим:

Тогда величина x будет равна

Ответ: -12.
Источник: И.В. Ященко. Типовые экзаменационные варианты
Выписано несколько последовательных членов арифметической прогрессии: …; 11; x; 19; 23; … Найдите x.
Решение:
Найдем сначала разность d, зная два подряд идущих члена прогрессии 19 и 23, получим:

Найдем теперь величину x, которая идет за числом 11, следовательно,

Ответ: 15.
Источник: И.В. Ященко. Типовые экзаменационные варианты
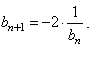
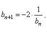
Последовательность (bn) задана условиями: b1=-4,
Найдите b5.
Решение:
Вычислим по порядку члены последовательности, начиная со второго, получим:

далее видно, что числа периодически повторяются, то есть

Ответ: -4.
Источник: И.В. Ященко. Типовые экзаменационные варианты