9. Статистика, вероятности
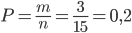
Основнóй госудáрственный экзáмен ОГЭ Математика задание №9 Демонстрационный вариант 2018-2017 На тарелке лежат пирожки, одинаковые на вид: 4 с мясом, 8 с капустой и 3 с яблоками. Петя наугад выбирает один пирожок. Найдите вероятность того, что пирожок окажется с яблоками.
Решение:
P = m / n = число благоприятных исходов / общее число исходов
m = число благоприятных исходов = 3 (с яблоками)
n = общее число исходов = 4 (с мясом) + 8 (с капустой)+ 3 (с яблоками) = 15

Ответ: 0,2
Демонстрационный вариант Основнóй госудáрственный экзáмен ОГЭ 2016 г. – задание №19 Модуль «Реальная математика»
Родительский комитет закупил 10 пазлов для подарков детям к окончанию года, из них
с машинами
с видами городов. Подарки распределяются случайным образом. Найдите вероятность того, что Мише достанется пазл с машиной.
Решение:
3/10=0,3
Ответ: 0,3
Демонстрационный вариант Основнóй госудáрственный экзáмен ОГЭ 2015 г. – задание №19 Модуль «Реальная математика»
В среднем из 75 карманных фонариков, поступивших в продажу, пятнадцать неисправных. Найдите вероятность того, что выбранный наудачу в магазине фонарик окажется исправен.
Решение:
75 -всего фонариков
15 -неисправных
15/75=0,2 -вероятность того,что фонарик будет неисправным
1-0,2= 0,8 – вероятность того, что фонарик будет исправным
Ответ: 0,8
1. Вася ,Петя, Коля и Лёша бросили жребий – кому начинать игру. Найдите вероятность того что начинать игру будет Петя.
Решение.
Благоприятных исходов – 1.
Всего исходов – 4.
Вероятность того, что игру начнёт Петя равна 1 : 4 = 0,25
Ответ. 0,25
2. Игральный кубик бросили один раз. Какова вероятность того, что выпало число очков больше 4? Ответ округлите до сотых.
Решение.
Благоприятные исходы: 5 и 6. Т.е. два благоприятных исхода.
Всего 6 исходов, так как на игральном кубике 6 граней.
Вероятность того, что выпадет более 4 очков равна 2 : 6 = 0,3333…≈ 0,33
Ответ. 0,33
Если первая отброшенная цифра 0,1,2,3 или 4, то стоящую перед ней цифру не изменяют. Если первая отброшенная цифра 5,6,7,8 или 9, то стоящую перед ней цифру увеличивают на 1.
3. В случайном эксперименте бросают два игральных кубика. Найдите вероятность того, что в сумме выпадет 8 очков. Ответ округлите до тысячных.
Решение.
Благоприятные исходы: (2;6), (6;2), (4;4), (5; 3), (3;5). Всего благоприятных исходов 5.
Всех исходов 36 (6 ∙ 6).
Вероятность = 5 : 36 = 0,138888…≈ 0,139
Ответ. 0,139
4. В случайном эксперименте симметричную монету бросают дважды. Найдите вероятность того, что орёл выпадет ровно 1 раз.
Решение.
Благоприятных исходов два: орёл и решка, решка и орёл.
Возможных исходов четыре: орел и решка, решка и орёл, решка и решка, орёл и орёл.
Вероятность: 2: 4 = 0,5
Ответ. 0,5
5. В случайном эксперименте симметричную монету бросили три раза. Какова вероятность того, что орёл выпадет ровно два раза?
Решение.
Возможны следующие благоприятные исходы:
ООР
ОРО
РОО
При бросании монеты орел выпадает с вероятностью 0,5 и решка выпадает с вероятностью 0,5. Следовательно, вероятность выпадения комбинации «ООР» 0,5 ∙ 0,5 ∙ 0,5 = 0,125.
Вероятность выпадения комбинации «ОРО» 0,125.
Вероятность выпадения комбинации «РОО» 0,125.
Следовательно, вероятность выпадения благоприятных исходов равна 0,125 + 0,125 + 0,125 = 0,375.
Ответ. 0,375.
6. В соревнованиях по толканию ядра участвуют 4 спортсмена из Финляндии, 6 спортсменов из России и 10 спортсменов из США. Найдите вероятность того. что спортсмен, выступающий последним, окажется из России.
Решение.
4 + 6 + 10 = 20 (спортсменов) – всего участников соревнования.
Благоприятных исходов 6. Всего исходов 20.
Вероятность равна 6 : 20 = 0,3
Ответ. 0,3
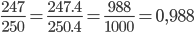
7. В среднем из 250 аккумуляторов, поступивших в продажу, 3 неисправны. Найдите вероятность того, что случайно выбранный аккумулятор окажется исправным.
Решение.
Исправных аккумуляторов: 250 – 3 = 247
Всего аккумуляторов: 250
Вероятность равна 
Ответ. 0,988
8. В чемпионате по гимнастике участвуют 20 спортсменок: 8 из России, 7 из США, остальные – из Китая. Порядок, в котором выступают гимнастки, определяется жребием. Найдите вероятность того, что спортсменка, выступающая первой, окажется из Китая.
Решение.
Из Китая: 20 – 8 – 7 = 5 спортсменок
Всего: 20.
Вероятность: 
Ответ. 0,25
9. В чемпионате мира участвуют 16 команд. С помощью жребия их нужно разделить на четыре группы по четыре команды в каждой. В ящике вперемешку лежат карточки с номерами групп:
1, 1, 1, 1, 2, 2, 2, 2, 3, 3, 3, 3, 4, 4, 4, 4.
Капитаны команд тянут по одной карточке. Какова вероятность того, что команда России окажется во второй группе?
Решение:
Во второй группе 4 команд, следовательно, благоприятных исходов 4.
Всего исходов 20, так как команд 20.
Вероятность: 
Ответ. 0,25
10. Вероятность того, что шариковая ручка пишет плохо (или не пишет), равна 0,1. Покупатель в магазине выбирает ручку. Найдите вероятность, что эта ручка пишет хорошо.
Решение.
вероятность, что ручка пишет хорошо + вероятность, что ручка не пишет = 1.
1 – 0,1 = 0,9 – вероятность того, что ручка пишет хорошо.
Ответ. 0,9
11. На экзамене по геометрии школьнику достается один вопрос из списка. Вероятность того, что это вопрос на тему «Вписанная окружность», равна 0,2. Вероятность того, что это вопрос на тему «Параллелограмм», равна 0,15. Вопросов, которые одновременно относятся к этим двум темам, нет. Найдите вероятность того, что на экзамене школьнику достанется вопрос по одной из этих двух тем.
Решение.
0,2 + 0,15 = 0,35
Ответ. 0,35
12. В торговом зале два одинаковых автомата продают кофе. Вероятность того, что в конце дня в автомате закончится кофе, равна 0,3. Вероятность того, что кофе закончится в обоих автоматах , равна 0,12. Найдите вероятность того ,что к концу дня кофе останется в обоих автоматах.
Решение.
Вероятность того, что кофе закончится хотя бы в одном автомате: 0,3 + 0,3 – 0,12 = 0,48 (0,12 вычитаются, так как эта вероятность учитывалась дважды при сложении 0, и 0,3)
Вероятность того ,что кофе останется в обоих автоматах:
1 – 0,48 = 0,52.
Ответ. 0,52
13. Биатлонист пять раз стреляет по мишеням. Вероятность попадания в мишень при одном выстреле равна 0,8. Найдите вероятность того, что биатлонист первые три раза попал в мишени, а последние два раза промахнулся. Результат округлите до сотых.
Решение.
1 раз: 0,8
2 раз: 0,8
3 раз: 0,8
4 раз: 1 – 0,8 = 0,2
5 раз: 1 – 0,8 = 0,2
Вероятность: 0,8 ∙ 0,8 ∙ 0,8 ∙ 0,2 ∙ 0,2 = 0,02048 ≈ 0,02
Ответ. 0,02
14. В магазине стоят два платёжных автомата. Каждый из них может быть неисправен с вероятностью 0,05 независимо от другого автомата. Найдите вероятность того, что хотя бы один автомат исправен.
Решение.
Вероятность того, что оба автомата неисправны: 0,05 ∙ 0,05 = =0,0025
Вероятность того, что хотя бы один автомат исправен:
1 – 0,0025 = 0,9975
Ответ. 0,9975
15. На клавиатуре телефона 10 цифр, от 0 до 9. Какова вероятность того, что случайно нажатая цифра окажется чётной?
Решение.
Чётные цифры: 0, 2, 4, 6, 8. Чётных цифр пять.
Всего цифр 10.
Вероятность: 
Ответ. 0,5
16. Конкурс исполнителей проводится в 4 дня. Всего заявлено 50 выступлений – по одному от каждой страны. В первый день 20 выступлений ,остальные распределены поровну между оставшимися днями. Порядок выступления определяется жребием. Какова вероятность, что выступление представителя России состоится в третий день конкурса.
Решение. 50 – 20 = 30 участников должны выступить в течении трёх дней. Следовательно, в третий день выступают 10 человек.
Вероятность: 
Ответ. 0,2
17. Лена дважды бросает игральный кубик. В сумме у неё выпало 9 очков. Найдите вероятность того, что при втором броске выпало 5 очков.
Решение.
Возможны четыре события события: (3;6), (6;3), (4;5), (5;4)
Благоприятный исход один (4;5)
Вероятность: 
Ответ. 0,25
18. В случайном эксперименте симметричную монету бросают дважды. Найдите вероятность того, что решка выпадет ровно один раз.
Решение.
Возможны исходы:
ОР, РО, ОО, РР
Благоприятных исходов: ОР, РО
Вероятность: 
Ответ. 0,5