Всероссийская Проверочная Работа ВПР Химия 11 класс 27 апреля 2017 Вариант 2
Всероссийская Проверочная Работа ВПР Химия 11 класс 27 апреля 2017 Вариант 2 – Всероссийская Проверочная Работа
1. Одним из научных методов познания веществ и химических явлений является моделирование. Так, модели молекул используются для установления взаимосвязи между строением и свойствами веществ.
На рис. 1–3 изображены модели молекул трёх веществ.
Какие из веществ, модели молекул которых изображены на рисунках, относятся к:
1) простым веществам;
2) сложным неорганическим веществам.
Запишите в таблицу номер рисунка и химическую формулу данного вещества.
| Вещество | Номер рисунка | Химическая формула |
| Простое | ||
| Сложное неорганическое вещество |
2. На рисунке изображена модель электронного строения атома некоторого химического элемента.
На основании предложенной модели выполните следующие задания:
1) запишите порядковый номер химического элемента, которому соответствует данная модель атома;
2) запишите номер периода и номер группы в Периодической системе химических элементов Д.И. Менделеева, в которых расположен этот элемент;
3) определите, к металлам или неметаллам относится простое вещество, которое образует этот элемент.
Ответы запишите в таблицу.
| Порядковый номер химического элемента |
№ периода |
№ группы |
Металл/ неметалл |
3. Периодическая система химических элементов Д.И. Менделеева – богатое хранилище информации о химических элементах, их свойствах и свойствах их соединений. Так, например, известно, что с увеличением порядкового номера химического элемента радиусы атомов в периодах уменьшаются, а в группах увеличиваются.
Учитывая эти закономерности, расположите в порядке увеличения радиуса атомов следующие элементы: Mg, Be, B, Ca. Запишите символы элементов в нужной последовательности.
Ответ:
4. В приведённой ниже таблице перечислены характерные свойства веществ молекулярного и ионного строения.
| Характерные свойства веществ | |
| Молекулярного строения | Ионного строения |
| • При обычных условиях могут находиться в одном из трёх агрегатных состояний; • имеют низкие значения температур кипения и плавления; • не проводят электрический ток в расплавах и растворах; • имеют низкую теплопроводность |
• Твёрдые при обычных условиях; • хрупкие; • тугоплавкие; • нелетучие; • в расплавах и растворах проводят электрический ток |
Используя данную информацию, определите, какое строение имеют вещества:
1) кислород (O2); 2) мел (CaCO3).
1) Кислород имеет
2) Мел имеет
5. Сложные неорганические вещества условно можно распределять, то есть классифицировать, по четырём классам, как показано на схеме. В эту схему впишите недостающие названия двух классов и две формулы веществ, являющихся представителями соответствующих классов.
Для выполнения заданий 6–8 используйте информацию, содержащуюся в данном тексте.
Химический элемент натрий по распространённости на Земле занимает шестое место среди всех химических элементов. Природные соединения натрия – это каменная соль, криолит, бура и т.д. Также натрий присутствует почти во всех органах, биологических жидкостях и тканях организма человека и выполняет особую роль во внутриклеточных и межклеточных обменных процессах.
Простое вещество натрий относится к наиболее химически активным металлам. Он способен реагировать с водой при комнатной температуре. Полученное в результате этой реакции вещество называют гидроксидом натрия (NaOH) или едким натром. Такое название он получил за то, что «разъедает» ткани, кожу, бумагу. На воздухе гидроксид натрия поглощает углекислый газ (CO2) и превращается в соль – карбонат натрия (Na2CO3). Эта соль широко применяется в различных областях промышленности. Так,
например, в пищевой промышленности карбонаты натрия зарегистрированы в качестве пищевой добавки E500, используются в качестве регулятора кислотности, разрыхлителя, препятствующего комкованию и слёживанию продуктов питания.
6. 1) Составьте уравнение реакции натрия с водой.
Ответ:
2) В виде каких частиц (атомов или ионов) химический элемент натрий находится во внеклеточных жидкостях в организме человека? Напишите название и химическую формулу этих частиц.
Ответ:
7. 1) Составьте молекулярное уравнение реакции между гидроксидом натрия и углекислым газом.
Ответ:
2) Какое тривиальное название имеет гидроксид натрия? Какие свойства гидроксида натрия обусловили это название?
Ответ:
8. 1) Составьте сокращённое ионное уравнение реакции между раствором карбоната натрия и избытком азотной кислоты (HNO3).
Ответ:
2) Какие внешние признаки этой реакции свидетельствуют о протекании этой реакции до конца?
Ответ:
9. Дана схема окислительно-восстановительной реакции.
Р + HNO3 + H2O → H3PO4 + NO
1. Составьте электронный баланс этой реакции.
Ответ:
2. Укажите окислитель и восстановитель.
Ответ:
3. Расставьте коэффициенты в уравнении реакции.
Ответ:
10. Дана схема превращений:
CO2 → Na2CO3 → CaCO3 → CaCl2
Напишите молекулярные уравнения реакций, с помощью которых можно осуществить указанные превращения.
1)
2)
3)
11. Установите соответствие между формулой органического вещества и его названием:
к каждой позиции, обозначенной буквой, подберите соответствующую позицию, обозначенную цифрой.
| ФОРМУЛА ВЕЩЕСТВА | НАЗВАНИЕ |
| А) CH3CH2OH Б) CH3CH3 В) HCOOH |
1) муравьиная кислота 2) глицерин 3) этанол 4) этан |
Запишите в таблицу выбранные цифры под соответствующими буквами.
Ответ:
| А | Б | В |
12. В предложенные схемы химических реакций вставьте формулы пропущенных веществ и расставьте коэффициенты там, где это необходимо.
1) CH3–CH3 + HNO3 → CH3–CH2–NO2 + ………………
2) CH3COOH + ……………… → (CH3СОO)2Ba + H2O
13. Раствор гидроксида кальция (известковую воду) используют для определения количества углекислого газа в воздухе. В результате реакции наблюдают помутнение известковой воды из-за выпадения осадка карбоната кальция.
Вычислите массу карбоната кальция, который выпадает в осадок при взаимодействии избытка раствора гидроксида кальция с углекислым газом массой 220 г. Запишите уравнение протекающей реакции и подробное решение задачи.
Ответ:
14. Уксусный альдегид – летучая жидкость с фруктовым запахом. Его используют в производстве уксусной кислоты и некоторых полимеров. В соответствии с приведённой ниже схемой составьте уравнения реакций получения этого альдегида. При написании уравнений реакций используйте структурные формулы органических веществ.
Ответ:
1)
2)
3)
15. Для осветления волос можно использовать 30%-ный раствор пероксида водорода в воде. Рассчитайте массу пероксида водорода и воды, которые содержатся в растворе массой 250 г. Запишите подробное решение задачи.
Ответ:
Критерии оценивания заданий с развёрнутым ответом
1.
| Вещество | Номер рисунка | Химическая формула |
| Простое | 3 | S8 |
| Сложное неорганическое вещество | 2 | HCl |
2.
| Порядковый номер химического элемента |
№ периода |
№ группы |
Металл/ неметалл |
| 8 | 2 | 6 | Неметалл |
3. Записан ряд химических элементов:
B → Be → Mg → Ca (или B; Be; Mg; Ca)
4. Элементы ответа:
1) Кислород имеет молекулярное строение.
2) Мел имеет ионное строение
5. Элементы ответа:
1) Записаны названия двух недостающих классов веществ: оксиды и кислоты.
2) Записаны формулы двух недостающих веществ
6. Элементы ответа:
1) 2Na + 2H2O = 2NaOH + H2
2) Химический элемент натрий во внеклеточных жидкостях в организме
человека находится в виде ионов натрия – Na+
7. Элементы ответа:
1) 2NaOH + CO2 = Na2CO3 + H2O
2) Тривиальное название гидроксида натрия – едкий натр. Такое название обусловила высокая химическая активность, т.е. способность гидроксида натрия вступать в реакцию (разъедать) с веществами, входящими в состав ткани, кожи, бумаги
8. Элементы ответа:
1) 2H+ + CO32– = H2O + CO2
2) Реакция карбоната натрия с азотной кислотой протекает до конца, так как в результате этой реакции выделяется газообразное вещество (углекислый газ)
9. Элементы ответа:
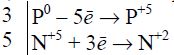
1) Составлен электронный баланс:
2) Указано, что фосфор в степени окисления 0 является восстановителем,
а азот в степени окисления +5 (или HNO3) – окислителем.
3) Составлено уравнение реакции:
3Р + 5HNO3 + 2H2O = 3H3PO4 + 5NO
10. Элементы ответа:
Написаны уравнения реакций, соответствующие схеме превращений:
1) CO2 + 2NaOH = Na2CO3+ H2O
2) Na2CO3 + CaCl2 = CaCO3 + 2NaCl
3) CaCO3 + 2HCl = CaCl2 + CO2 + H2O
11. Записан ряд чисел, соответствующих верному ответу: 341
12. Элементы ответа:
1) CH3–CH3 + HNO3 → CH3–CH2–NO2 + H2O
2) 2CH3–COOH + Вa(OH)2 → (CH3–COO)2Вa + 2H2O
13. Элементы ответа:
1) Составлено уравнение реакции:
Ca(OH)2 + CO2 = CaCO3 + H2O
2) Рассчитано количество искомого вещества:
n(CO2) = 220 / 44 = 5 моль
n(CaCO3) = n(CO2) = 5 моль
3) Рассчитана масса искомого вещества:
m(CaCO3) = 5 · 100 = 500 г
14. Элементы ответа:
Написаны уравнения реакций, соответствующие схеме:
15. Элементы ответа:
1) Рассчитана масса растворённого вещества:
m(вещества) = 250 · 0,30 = 75 г
2) Рассчитана масса воды в растворе:
m(воды) = 250 – 75 = 175 г




