10. Графики функций
Основнóй госудáрственный экзáмен ОГЭ Математика задание №10 Демонстрационный вариант 2018-2017 Установите соответствие между графиками функций и формулами, которые их задают.

1) 
2) 
3) 
В таблице под каждой буквой, соответствующей графику, впишите номер формулы, которая его задаёт.
Ответ:
| А | Б | В |
1) 
при x=1,
, (x,y)=(1,1) – A
2) 
при x=1,
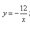
, (x,y)=(1,0,5) – В
3) 
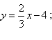
при x=1,
, (x,y)=(1,2) – Б
Ответ:
| А | Б | В |
| 1 | 3 | 2 |
Демонстрационный вариант Основнóй госудáрственный экзáмен ОГЭ 2016 г. – задание №5
Установите соответствие между графиками функций и формулами, которые их задают. Впишите в приведенную в ответе таблицу под каждой буквой соответствующую цифру.
Решение:1) 2x=2*1=2, (1;2) 2x=2*0=0 (0;0) -Б
2) -2x=-2*1=-2, (1;-2)
3) x+2=1+2=3, (1;3) x+2=0+2=2 (0;2) -А
4) y=2; (n;2) – B
Ответ:
| А | Б | В |
| 3 | 1 | 4 |
Демонстрационный вариант Основнóй госудáрственный экзáмен ОГЭ 2015 г. – задание №5
Установите соответствие между графиками функций и формулами, которые их задают.
А)
Б)
В) 
1) 
при x=1, y= -2/1= -2 , (x,y)=(1,-2) – 1
2) 
при x=1, y= 2/1= 2 , (x,y)=(1,2) – 4
3) 
при x=1, y= 1/2*1, (x,y)=(1,0.5) – 2
Ответ:
| А | Б | В |
| 1 | 4 | 2 |
Установите соответствие между графиком и верным для него утверждением.
A) y=3xy=3x
Б) 
В) 
1) 
2)
3)
Выпишите цифры, которые соответствуют графикам.
Ответ:
| А | Б | В |
А) 3-уравнение и график явно выделяются среди других (можно проверить, подставив x=1).
Б) 1-подставляя х=3, подставляем у=1 и сверяем х и у с графиком
В) 2-подставив х=3, подставляем у=-1 и сверяем х и у с графиком
Ответ:
| А | Б | В |
| 3 | 1 | 2 |
Установите соответствие между графиками функций и формулами, которые их задают.
A) 
Б) 
В) 
1) 
2) 
3) 
Выпишите цифры, которые соответствуют графикам.
Ответ:
| А | Б | В |
А) 3 – гипербола. Во 2-ой и 4-ой. Подставив х=1, получаем у=
точка (1,
), лежит на графике А
Б) 1 – гипербола. В 1-ой и 3-ей. Подставив х=3, получаем у=3, точка (3,3) лежит на графике Б
В) 2 – гипербола. Во 2-ой и 4-ой. Подставив х=3, получаем у=-3, точка (3,-3) лежит на графике В
Ответ:
| А | Б | В |
| 3 | 1 | 2 |
На рисунках изображены графики функций вида у = kx + b. Установите соответствие между графиками функций и знаками коэффициентов k и b.
A) 
Б) 
В) 
1) k>0,b>0k>0,b>0
2) 
3) k<0,b<0k<0,b<0
Выпишите цифры, которые соответствуют графикам.
Решение:Коэффициент в отвечает за пересечение графика с ОУ, к – за укол наклона, в>0 – график пересекает ОУ выше 0; в<0 – ниже; к>0 – угол наклона меньше 90о; к<0 – больше 90о
А) Пересечение с ОУ выше 0: в>0, угол наклона больше 90о: к<0. 2
Б) Пересечение с ОУ ниже 0: в<0, угол наклона больше 90о: к<0. 3
В) Пересечение с ОУ выше 0: в>0, угол наклона больше90о: к>0. 1
Ответ:
| А | Б | В |
| 2 | 3 | 1 |
Установите соответствие между графиками функций и формулами, которые их задают.
A) 
Б) 
В) 
1) y = – x – 2
2) y = (x + 1)2
3) y = 
4) y = (x – 1)2
Выпишите цифры, которые соответствуют графикам.
Решение:А) 4 – судя по направлению параболы у=а(х-хо)+уо.
Б) 3 – лежачая полупарабола.
В) 1 – прямая линия (задается линейной функций).
Ответ:
| А | Б | В |
| 4 | 3 | 1 |
Установите соответствие между функциями и их графиками.
Функции: А)
Б)
В) 
Графики:

В таблице под каждой буквой укажите соответствующий номер.
Решение:Все уравнения графиков представляют собой параболы. Вспомним, что если знак перед положительный, то ветви параболы направлены вверх, иначе – вниз.

А) ветви параболы направлены вверх, точка
это соответствует графику под номером 1;
Б) ветви направлены вниз и этому соответствует только один график под номером 3;
В) ветви направлены вверх с точкой
что соответствует графику под номером 2.
Ответ: А1, Б3, В2.
Источник: И.В. Ященко. Типовые экзаменационные варианты.
Установите соответствие между графиками функций и формулами, которые их задают.
Графики:

Функции:
1)
2)
3) 
Выберем соответствие графиков и функций, получим:
А) график образует острый угол и имеет отрицательное смещение по оси Oy, следовательно, это функция под номером 2;
Б) график образует острый угол и имеет положительное смещение по Oy – это 3-я функция;
В) график образует тупой угол, следовательно, это 1-я функция. Ответ: А2, Б3, В1.
Источник: И.В. Ященко. Типовые экзаменационные варианты.
На рисунках изображены графики функций вида y = ax^2+bx+c. Установите соответствие между знаками коэффициентов a и c и графиками функций.
Коэффициенты: А) a>0, c>0; Б) a<0, c>0; В) a>0, c<0 Графики:

Если множитель
перед
у параболы больше 0 (
), то ветви параболы направлены вверх, иначе – вниз, получим:
А) a>0, c>0 – ветви направлены вверх и график параболы сдвинут вверх по оси Oy. Этому соответствует график под номером 1;
Б) a<0, c>0 – ветви направлены вниз и это есть только у одного графика под номером 3;
В) a>0, c<0 – ветви направлены вверх, но график сдвинут вниз по оси Oy. Этому соответствует график под номером 2.
Ответ: А1, Б3, В2.
Источник: И.В. Ященко. Типовые экзаменационные варианты.
Установите соответствие между функциями и их графиками.
Функции: А)
Б)
В) 
Графики:

Графики и функции представляют собой гиперболы. Если перед дробью у функции гиперболы стоит знак минус, то график определен во II и IV
четвертях , иначе, при положительном знаке, график определен в I и III четвертях, имеем:
А) функция имеет знак «-», график расположен во II и IV четвертях, множитель перед x равен 1/12– это соответствует графику под цифрой 1;
Б) функция имеет знак «+», график определен в I и III, множитель перед x равен 12, следовательно, это график под номером 2;
В) функция имеет знак «+», график определен в I и III, множитель перед x равен 1/12-это график под номером 3;
Ответ: 123.
Источник: И.В. Ященко. Типовые экзаменационные варианты.
На рисунках изображены графики функций вида y = ax^2+bx+c. Установите соответствие между графиками функций и знаками коэффициентов a и c.
Графики:

Коэффициенты: 1) a<0, c>0; 2) a>0, c>0; 3) a>0, c<0
Решение:Ветви параболы направлены вверх, если коэффициент a>0 при х^2 , иначе (при a<0) ветви параболы направлены вниз. Параметр c отвечает за сдвиг графика параболы по оси Оу.
А) Ветви графика направлены вверх (a>0) и график смещен вниз по оси Oy (смотрим при x=0), то есть c<0. Имеем коэффициенты под номером 3.
Б) Ветви направлены вверх (a>0), график смещен вверх (при x=0), значит, c>0 и это соответствует коэффициентам под номером 2.
В) Ветви направлены вниз (a<0) и это есть только у коэффициентов под номером 1.
Ответ: 321.
Источник: И.В. Ященко. Типовые экзаменационные варианты.
Установите соответствие между графиками функций и формулами, которые их задают.
Графики:

Формулы:

Все три графика на рисунках относятся к разным типам. Соотнесем типы графиков с их формулами.
А) График квадратного корня, которому соответствует функция под номером 1.
Б) График параболы, функция которого в общем виде имеет вид
и соответствует функции под номером 3.
В) График линейной функции вида
соответствует функции под номером 2.
Ответ: 132.
Источник: И.В. Ященко. Типовые экзаменационные варианты.
На рисунках изображены графики функций вида y=kx+b. Установите соответствие между знаками коэффициентов k и b и графиками функций.
Коэффициенты: 1) k<0, b<0; 2) k<0, b>0; 3) k>0, b<0
Графики:

Коэффициент k является угловым коэффициентом в функции графика линии, и если k>0, то линия образует острый угол с осью Ox, если k<0, то тупой угол. Параметр b отвечает за смещение графика по оси Oy.
- k<0, b<0 – линия образует тупой угол и смещена вниз (это можно увидеть в точке x=0), что соответствует графику под номером 1;
- k<0, b>0 – линия образует тупой угол и смещена вверх, это график под номером 2;
- k>0, b<0 – линия образует острый угол, и это единственный график под номером 3.
Ответ: 123.
Источник: И.В. Ященко. Типовые экзаменационные варианты.
Установите соответствие между функциями и их графиками.
Функции: 
Графики:

Если у функции гиперболы дробь положительна, то функция определена в I и III четвертях, а если отрицательна, то во II и IV четвертях.
А) Функция имеет положительную дробь, следовательно, график определен в I и III четвертях, график под цифрой 2.
Б) Функция имеет отрицательную дробь, значит, график определен во II и IV четвертях, график под номером 1.
В) Функция имеет отрицательную дробь, график определен во II и IV четвертях, график под номером 3.
Ответ: 213.
Источник: И.В. Ященко. Типовые экзаменационные варианты.
Установите соответствие между графиками функций и формулами, которые их задают.
Графики:

Функции: 1) y=-2; 2) y=x-2; 3) y=-2x
Решение:А) На графике представлена линия параллельная оси Ox, то есть у этого графика постоянные значения y при любом x. Это соответствует уравнению под номером 1.
Б) На графике представлена линейная функция- это функция под номером 3.
В) Линия образует острый угол с осью Ox, следовательно, имеем положительный коэффициент и это соответствует функции под номером 2.
Ответ: 132.
Источник: И.В. Ященко. Типовые экзаменационные варианты.
Установите соответствие между графиками функций и формулами, которые их задают.
Графики:

Формулы: 
Если
то ветви параболы направлены вверх, иначе – вниз. Координата точки перегиба по оси Ox определяется как
А) ветви направлены вниз (a<0) и координата точки перегиба
значит, параметр b должен быть больше 0. Это 3;
Б) ветви параболы направлены вверх и это 1;
В) ветви направлены вниз (a<0), а координата точки перегиба
следовательно, b<0 и это 2.
Ответ: 312.
Источник: И.В. Ященко. Типовые экзаменационные варианты.




