Ответы и решение – досрочный вариант Единый государственный экзамен ЕГЭ 2017 по математике профильный

Скачайте в формате DOCX

Ответы и решение – досрочный вариант Единый государственный экзамен ЕГЭ 2017 по математике профильный

Часть 1

1. (131 – 121) ∙ 13,5 = 10 ∙ 13,5 = 135 руб

Ответь: 135 руб

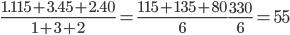
2. По рисунку наименьшую цену меди за данный период = 8085

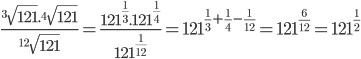
3. 

Ответь: 4

4. В трёх матчах возможно 23 = 8 различных исходов: 000, 001, 010, 100, 101, 110, 011, 111. Их них подходят только 000, 001, 010, 100 (не более одного раза).

5. log7 (1− x) = log75

1-x=5

x=-4

Ответь: -4

6. CA2=AB2-BC2=25-16=9 ⇒ CA=3

Ответь: 0,6

7. Значение производной функции в точке равно тангенсу угла наклона касательной к графику функции в этой точке.

Ответь: 1,5

8. 

Ответь: 60

9. 

Ответь: 11

10. 1380+165-15t2 ≤ 1800

15t2-165t+420 ≤ 0

t2-11t+28 ≤ 0

t ≤ 4 , t ≥ 7

Ответь: 4

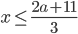
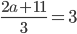
11. 

Ответь: 55

12. 

т.к. sinx∈[-1;1], то данное ур-ие не будет выполняться.

Следовательно, нужно проверить границы:

1) 

2) 

Наименьшее: -35

Ответь: -35

Часть 2

13. а)

б) [log52;log520]

Ответ: а) 

б) 

14.

 

15. 

ОДЗ: 

 

Обьединяя с ОДЗ получаем:

16. Составим функцию прибыли за 25 лет:

25 лет

t лет      25-t

t2           (1+r)25-t

f(t)=t2(1+r)25-t

По условию задачи сказано, что down- наибольшей прибыли ценные бумаги нужно продать строго в конце 21 года, т.е. t=21. Следовательно, нам нужно обеспечить, чтобы f(21)>f(20) иf(21)>f(22):

 ⇒     ⇒    

   ⇒       ⇒   

17.

t 1 2 3 4 5 6
t2 1 4 9 16 25 36

18.

1) 

2) 

3) 

 

 

Ответ: 

19.

а) да; 6,7,8,9,10

б) нет

в) 35; 7,8,9,11