Ответы и решение – досрочный вариант Единый государственный экзамен ЕГЭ 2017 по информатике
Ответы и решение – досрочный вариант Единый государственный экзамен ЕГЭ 2017 по информатике
1. 101101112 < x < 101111112
23=8-1=7
183 < x < 191
Ответ: 7
2. Ответ: xywz
3. D и E имеют 3 дороги. D, E = 2, 6
Ответ: 25
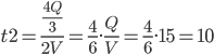
4.
| 46 | |||
| 27(M) | 36(Ж) | ||
| 28(М) | 56(Ж) | 48(Ж) | 37(Ж) |
Ответ: 4
5.
| 0-Белый | 1 | ||||
| 0-Чёрный | 1 | ||||
| Синий=110=0 | 1 | ||||
| 0-Красный | 1 | ||||
| 0-Фиолетовый | 1-Зелёный | ||||
Ответ: 110
6. 1*5+2+2*5=45
Ответ: 2112
7.
![]() |
![]() |
![]() |



Ответ: 9
8.
| n | n |
| 0 | 0 |
| 10 | 3 |
| 20 | 6 |
| 30 | 9 |
| 40 | 12 |
| 50 | 15 |
| 60 | 18 |
| 70 | 21 |
| 80 | 24 |
Ответ: 24
9. 



Ответ: 10
10. Ж, И, Р, А, Ф
P _ _ _ = 1.4.4.4 = 64
_ P _ _ = 4.1.4.4 = 64
_ _ P _ = 4.4.1.4 = 64
_ _ _ P = 4.4.4.1 = 64
64+64+64+64 = 256
Ответ: 256
11. F5-F4-F3-F2-F0-F1-F2
Ответ: 5432012
12.
| IP-адрес | 01011100 | 92 |
| маска | 11110000 | 240 |
| адрес сети | 01010000 | 80 |
Ответ: 240
13. 24 > 12 ⇒ 4 бит (один симбол)
15.4 = 60 бит
60/8 = 7,5 ⇒ 8 байт
8+12 (дополнительные сведения) = 20 байт (один пароль)
20.100 (пользователей) = 2000 байт
Ответ: 2000
14.
36-11 = 25
Ответ: 25
15.
Ответ: 40
16. 125 + 253 + 59 = 59 + (52)3 + 53 = 59 + 56 + 53
| 1000000000 1000000 1000 |
| 1001001000 |
Ответ: 7
17.
a+b=170
b+c=245
a+b+c=360
b=?
a=360-245=115
b=170-115=55
Ответ: 55
18. P → (Q /\ ¬A) → ¬P) = ¬P + ¬(Q . ¬A) + ¬P = ¬P + ¬Q + A
171-150 = 21
Ответ: 21
19.
| 0 | 1 | 2 | 3 | 4 | 5 | 6 | 7 | 8 | 9 | 10 | |
| 27 | 17 | 7 | 0 | 7 | 17 | 27 | 17 | 10 | 7 | 0 | |
| 10 | 10 | 7 | -7 | -10 | -10 | 10 | 7 | 3 | 7 | 27 |
Ответ: 27
20.
x=33
L=1 2 3 4 5
X=27 21 15 9 3
M=3
3<5
M=5
L=3
Ответ: 33
21. k ∈ [9, 27] ⇒ 10
| 0 1 2 … 9 |
19 18 17 … 10 |
k ∈ [28, 64] ⇒ 18
| 36 35 … 19 |
1 2 … 18 |
10+18=28
Ответ: 28
22.
| 1 | 2 | 3 | 4 | 5 | 6 | 7 | 8 | 9 | 10 |
| 1 | 1 | 1 | 1 | 1 | 2 | 1 | 3 |
| 11 | 12 | 13 | 14 | 15 | 16 | 17 | 18 | 19 | 20 |
| 2 | 4 | 4 | 5 | 7 | 7 | 11 | 11 | 16 | 18 |
Ответ: 18
23.
| x1 | y1 | x2 | y2 |
| 0 | 0 | 1 | 1 |
| 1 | 1 | 1 | |
| 1 | 0 | 1 | 1 |
| 1 | 0 | 0 | |
| 1 | |||
| 1 | 0 |
| x1y1 | x2y2 | x3y3 | x4y4 | x5y5 | x6y6 | x7y7 | |
| 00 | 1 | 1 | 3 | 3 | 9 | 9 | 27 |
| 01 | 1 | 1 | 3 | 3 | 9 | 9 | 27 |
| 10 | 1 | 1 | 3 | 3 | 9 | 9 | 27 |
| 11 | 1 | 3 | 3 | 9 | 9 | 27 | 27 |
| 108 |
Ответ: 108
24.
1) 4
2) 100 (200, 331…)
3)
| Ошибка | исправление |
| sum = N % 10 | sum = 0 |
| sum = digit | sum = sum + digit |
25. Решение: C++
C++| 1234567891011121314 | #include <iostream>#define N 20int main(){int a[N];int i,j,k;for(i=0;i<N;i++) cin>>a[i];k=0;for(i=0;i<N-1;i++) if(a[i]%2==0 && a[i+1]%2==0) k++;cout<<k;return 0;} |
26.
1) а) S ≥ 33, 34, 35 … 64
б) S = 32
2) S=31, S= 16
3) 30
| П | В | П | В | |
| 30 | 31 | 32 | 33 | 66 |
| 64 | 128 | |||
| 60 | 120 |
27. Решение: на 2 балл
C++| 1234567891011121314151617181920212223 | #include <iostream>using namespace std;#define K 100000int main(){int i,j,N,max,R;int a[K];cin>>N;for(i=1;i<=N;i++) cin>>a[i];max=-1;for(i=1;i<=N-1;i++) for(j=i+1;j<=N;j++) if((a[i]*a[j])%26==0 && a[i]*a[j]>max) max=a[i]*a[j];cin>>R;if(max>0) cout<<"Вычисленное контрольное значение:"<<max<<endl;if(R==max) cout<<"Контроль пройден"else cout<<"Контроль не пройден";return 0;} |
Решение: на 4 балл
C++| 123456789101112131415161718192021222324252627282930313233 | #include <iostream>using namespace std;int main(){int М2, M13, M26, R, max, x, kontrol, i, N;M2 = 0; M13 = 0; M26 = 0; max = 0;cin>>N;for(i = 1; i <= N; i++){ cin>>x; if (x % 2 == 0 && x % 13 > 0 && x > M2) M2 = x; if (x % 13 == 0 && x % 2 > 0 && x > M13) M13 = x; if (x % 26 == 0 && x > M26){ if (M26 > max) max = M26; M26 = x; } else if (x > max) max = x;}cin>>R;if (M2*M13 < M26*max) kontrol = M26*max;else kontrol = M2*M13;if(kontrol > 0) cout<<"Вычисленное контрольное значение:"<<kontrol<<endl;if (R == kontrol) cout<<"Контроль пройден";else cout<<"Контроль не пройден";return 0;} |
Досрочный вариант Единый государственный экзамен ЕГЭ 2017 по информатике вариант_101







