14. Стереометрическая задача
Демонстрационный вариант Единый государственный экзамен ЕГЭ 2017 г. – задание №14. Угол между плоскостями. Все рёбра правильной треугольной призмы ABCA1B1C1 имеют длину 6. Точки M и N— середины рёбер AA1 и соответственно.
а) Докажите, что прямые BM и MN перпендикулярны.
б) Найдите угол между плоскостями BMN и ABB1 .
Подсказки и ответы
Решение:
а) Пусть точка H — середина AC . Тогда BN2 = BH2 + NH2 = (3√3)2 + 62 = 63.
Вместе с тем, BM2 + MN2 = (32 + 62) + (32 + 32) = 63, а тогда по теореме, обратной теореме Пифагора, треугольник BMN является прямоугольным с прямым углом M .
б) Проведём перпендикуляр NP к прямой 1 1 A B .
Тогда NP ⊥ A1B1 и NP ⊥ A1A. Следовательно, NP ⊥ ABB1 . Поэтому MP — проекция MN на плоскость 1 ABB1 .
Прямая BM перпендикулярна MN , тогда по теореме о трёх перпендикулярах BM ⊥ MP . Следовательно, угол NMP — линейный угол искомого угла.
Длина NP равна половине высоты треугольника A1B1C1 , то есть
. Поэтому 
Следовательно,
Ответ: б) 
Точка М – середина ребра C1D1 куба ABCDA1B1C1D1 с ребром 2. Найдите угол между прямыми АМ и ВА1.
Подсказки и ответы
Решение:
Найдем координаты точек:
A(2;0;0), M(0;1;2), B(2;2;0), A1(2;0;2)
Строим вектора через данные точки:
.png)
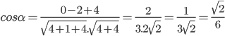
Находим cosα между векторами, где α – искомый угол:


Ответ: 
У правильной треугольной призмы ABCA1B1C1 сторона основания равна AB=6, боковое ребро AA1=8. Найдите синус угла между прямой BC1 и плоскостью BCA1.
Подсказки и ответы
Решение:
Найдем координаты точек:
B(0;3;0), C1(0;-3;8), C(0;-3;0), A1(3√3;0;0)
Строим вектора через данные точки:
.png)
Находим перпендикулярный вектор (нормальный вектор) плоскости BCA1 через уравнение плоскости:
и
Находим sinα, где α – искомый угол:
Ответ:
Высота SO правильной треугольной пирамиды SABC составляет от высоты SM боковой грани SAB. Найдите угол между плоскостью основания пирамиды и её боковым ребром.
Подсказки и ответы
Решение:
1-й способ:
O(0;0;0), S(0;0;5x), C(4x√6;0;0)
2-й способ:
Ответ: или
Задания down- школы экспертов. Математика. 2016 год.
В основании четырёхугольной пирамиды SABCD лежит прямоугольник ABCD со сторонами AB = 8 и BC = 6. Длины боковых рёбер пирамиды 
а) Докажите, что SA — высота пирамиды.
б) Найдите угол между прямыми SC и BD.
Подсказки и ответы
Решение:
а) SAB треугольник
SB2=SA2+AB2 ⇒ 85=21+64 ⇒ 85=85
SAD треугольник
SD2=SA2+AD2 ⇒ 57=21+36 ⇒ 57=57
Так как прямая SA перпендикулярная прямым AB и AD, прямая SA перпендикулярна плоскости ABD.
б)
S(0;0;√21); B(0;8;0); C(6;8;0); D(6;0;0)
.png)

Ответ: 
Материалы down- экспертов Единый государственный экзамен ЕГЭ 2016
В основании четырёхугольной пирамиды ABCD лежит прямоугольник ABCD со сторонами AB = 4 и BC = 3. Длины боковых рёбер пирамиды 
а) Докажите, что SA — высота пирамиды.
б) Найдите угол между прямой SC и плоскостью ASB.
Подсказки и ответы
Решение:
а) SAB треугольник
SB2=SA2+AB2 ⇒ 9.3=11+16 ⇒ 27=27
SAD треугольник
SD2=SA2+AD2 ⇒ 4.5=11+9 ⇒ 20=20
Так как прямая SA перпендикулярная прямым AB и AD, прямая SA перпендикулярна плоскости SABD, следовательно, SA — высота пирамиды.
б) Проекция SC на плоскость SAB будет прямая SB. Угол между прямыми SC и SB – α


Ответ: 30º




