Ответы и решение – Тренировочный вариант № 199 Alexlarin.net
Ответы и решение – Тренировочный вариант № 199 Alexlarin.net
Данный вариант взят с сайта alexlarin.net
| 1 | 2 | 3 | 4 | 5 | 6 | 7 | 8 | 9 | 10 | 11 | 12 |
| 546 | 20 | 3 | 0,441 | -1,5 | 4 | 0 | 40 | 1,5 | 18 | 3 | 2 |
1. 37292-37142=150
120.3,5=420
30.4,2=126
420+126=546
2. 31-11=20
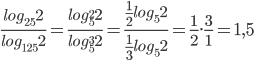
3. 
4. P=3.0,7.0,7.(1-0,7)=0,441
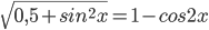
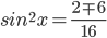
5. 
6. 16=12+x ⇒ x=4
7. 0
8. Vш=4/3.π.R3
Vц=Sосн.h = πr2.2R=2πR3=60 ⇒ πR3=30
Vш=4/3.π.R3=4/3.30 = 40
9. 
10. ^2}{2g}.png)
^2}{2.10}=-frac{-frac{1}{4}.V^2}{20}.png)

11. 12.0,75=9



12. =x^2-3,75x-ln(x+2).png)
=2x-3,75--frac{1}{x+2}.png)

-3,75(x+2)-1}{x+2}=0.png)






Ответ: 2
Част 2
13.

^2.png)
)^2.png)
^2.png)





|
|
Ответ: 
б) 

Ответ: 
14.





