Ответы и решение – досрочный вариант Единый государственный экзамен ЕГЭ 2017 по математике базовый
Ответы и решение – досрочный вариант Единый государственный экзамен ЕГЭ 2017 по математике базовый
1. 
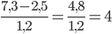
2. .(1,3.10^{-7})=7.1,3.10^5.10^{-7}=9,1.10^{-2}=-frac{9,1}{100}=0,091.png)
3. 3+4=7

Технические культуры занимают
земли. Если
земли = 6 гектаров, то
земли = 6ю4 = 24 гектара.
4) 
5) 
=cos(390 -textdegree).png)
=cos(30 -textdegree)=-frac{-sqrt3}{2}.png)

6. За месяц = 11000 км, 1 литр = 39 рублей
Средний расход бензина на 100 км составляет 7 литров.
11000 км =100 км . 110 = 7.110 = 770 л.
1 литр = 39 рублей, 770 л. = 39.770 = 30030 рублей
7. 
^2=6^2.png)


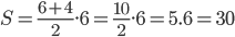
8. S = 20.30-12.12 = 456
9.
| А | Б | В | Г |
| 3 | 2 | 4 | 1 |
10. Вероятность того, что новая шариковая ручка пишет плохо или вовсе не пишет, равна 0,14.
Обратная вероятность = 1-0,14 = 0,86
11. Ищем на данном промежуке (границы включены по условию) наименьшую цену никеля. Она была 14 числа = 12200
12. RА = 3(2+3)+0-13 = 2
RБ = 3(0+4)+3-12 = 3
RВ = 3(3+1)+4-15 = 1
RГ = 3(3+2)+1-14 = 2
Ответ: 1
13. Меньший конус подобен большему с коэффицентом
. Объем подобных тел относится как куб коэффицента подобия. Следовательно:
Sменьшего конуса = ^3=-frac{1040}{2^3}=-frac{1040}{8}=130.png)
14. А) Значение производной функции положительно там, где функция возрастает -> В) (c;d)
Б) Значение производной функции отрицательно там, где функция убывает -> А) (a;b)
В) Значение функции отрицательно там, где функция находится ниже оси X -> Б) (b;c)
Г) Значение функции положительно там, где функция находится выше оси X -> Б) (d;e)
| А | Б | В | Г |
| 2 | 3 | 1 | 4 |
15. По теореме Пифагора:
^2-3^2=34-9=25 -Rightarrow AC=5.png)
Тангенс угла – это отношение противолежащей стороны к прилежащей:

16.

=2(45+60+108)=426.png)
17.
| А | Б | В | Г |
| 1 | 4 | 3 | 2 |
18.
Ответ: 14
19.
| ЧИСЛО | СУММА КВАДРАТОВ ЦИФР |
| 11·12=132 11·13=143 11·14=154 11·15=165 11·16=176 11·17=187 11·18=198 11·19=209 11·21=231 11·23=253 11·24=264 |
14 26 42 62 86 114 168 85 14 38 56 |
56 делится на 4, но не делится на 16, а значит число 264 подходит.
Ответ: 264
20.
А и Г делят окружность на две дуги(равные или нет мы не знаем). Т.к. АГАВ+ВГ, то В лежит на большей дуге. Следовательно, вся окружность=АГ+ВГ+АВ=45+25+30=100. Т.к. АБ=50, то АБ – диаметр окружности. Т.к. АБ=50 и АВ=30, а АБ – делит окружность пополам, то БВ=АБ-АВ=50-30=20(по кратчайшей дуге).
