10. Влажность воздуха. Количество теплоты
Демонстрационный вариант Единый государственный экзамен ЕГЭ 2017 г. – задание №10
Какую работу совершает идеальный газ при переходе из состояния 1 в состояние 2?

Ответ:
Так как процесс изобарный, следовательно p = const.
Работа совершаемая идеальным газом вычисляется по формуле A=pV=3*10^4*4=120 кДж
Ответ: 120
Демонстрационный вариант Единый государственный экзамен ЕГЭ 2016 г. – задание №10
Тепловая машина с КПД 40% за цикл работы отдаёт холодильнику количество теплоты, равное 60 Дж. Какое количество теплоты машина получает за цикл от нагревателя?
Ответ:
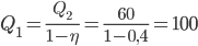
КПД определяется выражением
, где
– количество теплоты, полученное от нагревателя;
– количество теплоты, отданное холодильнику,
-КПД (40%). Преобразовываем выражение и получаем
Дж.
Ответ: 100
Досрочный вариант Единый государственный экзамен ЕГЭ 2016 г. – задание №10
Какую работу за цикл совершит тепловой двигатель, получивший от нагревателя количество теплоты 800 кДж, если его КПД 30 %? Ответ выразите в кДж.
Ответ:
A=
Q=
Ответ: 240