Единый государственный экзамен ЕГЭ по математике. Юг. Основная волна 06.06.2016. Вариант 437
Единый государственный экзамен ЕГЭ по математике. Юг. Основная волна 06.06.2016 Вариант 437
1. В летнем лагере 164 ребёнка и 23 воспитателя. Автобус рассчитан не более чем на 45 пассажиров. Какое наименьшее количество автобусов понадобится, чтобы за один раз перевезти всех из лагеря в город?
Решение:
164+23=187/4=4,1
Ответ: 5
2. На диаграмме показана среднемесячная температура воздуха в Симферополе за каждый месяц 1988 года. По горизонтали указываются месяцы, по вертикали — температура в градусах Цельсия. Определите по приведённой диаграмме, сколько месяцев среднемесячная температура превышала 20 градусов Цельсия.
Решение:
Ответ:
3. На клетчатой бумаге с размером клетки 1х1 изображен параллелограмм. Найдите его площадь.
Решение:
15-2,5-2,5=10
Ответ: 10
4. Научная конференция проводится в 4 дня. Всего запланировано 30 докладов: в первые два дня по 9 докладов, остальные распределены поровну между третьим и четвёртыми днями. На конференции планируется доклад профессора М. Порядок докладов определяется жеребьёвкой. Какова вероятность того, что доклад профессора М. окажется запланированным на последний день конференции?
Решение:
| 1д. | 2д. | 3д. | 4д. |
| 9 | 9 | 6 | 6 |

Ответ: 0,2
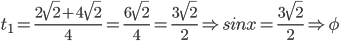
5. Найдите корень уравнения 
Решение:





Ответ: 0,8
6. Отрезки AC и BD — диаметры окружности с центром O. Угол AOD равен 66°. Найдите вписанный угол ACB. Ответ дайте в градусах.
Решение:
Так как угол ∠ACB и ∠DBC опираются на одну и ту же хорду, то ∠ACB=∠DBC, следовательно ΔOCB – равнобедренный треугольник. Т.к. ∠AOB=66° и ∠AOB=∠BOC, то ∠BOC=66°. Т.к. сумма углов треугольника равна 180°. а ∠ACB=∠DBC и ∠BOC=66°, то можем найти ∠ACB.
180 = 66° + x + x
2x=114
x=57
Ответ: 57
7. На рисунке изображён график – производной функции f(x), определённой на отрезке (−11; 2). Найдите абсциссу точки, в которой касательная к графику функции y=f(x) параллельна оси абсцисс или совпадает с ней.
Решение:
Т.к. угловой коэффицент равен нулю, то и производная в этой точке равна нуля, т.е. точка пересечения оси обцисс и графика x=-7.
Ответ: -7
8. Объём треугольной пирамиды равен 94. Через вершину пирамиды и среднюю линию её основания проведена плоскость. Найдите объём отсечённой треугольной пирамиды.
Решение:
Обьём пирамиды
(Sосн). т.к. вершина у пирамид общая, то h не изменяется. Т.к. площадь отсечённой части основания в 4 раза меньше площади основания, то Vотсеченной пирамиды = 
Ответ: -28
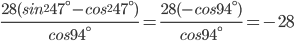
9. Найдите значение выражения }{cos94^{-circ}}.png)
Решение:
cos2x=cos2x-sin2x
}{cos94^{-circ}}=-frac{28(-cos94^{-circ})}{cos94^{-circ}}=-28.png)
Ответ: -28
10. Для нагревательного элемента некоторого прибора экспериментально была получена зависимость температуры (в кельвинах) от времени работы: T(t)=T0+bt+at2 где t — время (в мин.), T0 = 680 К, а = −16 К/мин2, b = 224 К/мин. Известно, что при температуре нагревательного элемента свыше 1400 К прибор может испортиться, поэтому его нужно отключить. Найдите, через какое наибольшее время после начала работы нужно отключить прибор. Ответ дайте в минутах.
Решение:






Ответ: 5
11. Имеется два сплава. Имеется два сплава. Первый сплав содержит 5% меди, второй — 14% меди. Масса второго сплава больше массы первого на 10 кг. Из этих двух сплавов получили третий сплав, содержащий 12% меди. Найдите массу третьего сплава. Ответ дайте в килограммах.
Решение:
=0,12(2x+10).png)




Ответ: 4
12. Найдите точку минимума функции 
Решение:
y=1,5x^2-27x+42lnx-10
Исследуем функцию:



Ответ: 7
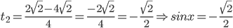
13. а) Решите уравнение .png)
б) Укажите корни этого уравнения, принадлежащего отрезку 
Решение:
а) .png)



+1+2-sqrt2sinx=0.png)





^2.png)

Ответ: 

б) 
Ответ: 
14. В правильной четырёхугольной пирамиде SABCD сторона AB основания равна 16, а высота пирамиды равна 4. На рёбрах AB, CD и AS отмечены точки M, N и K соответственно, причём AM = DN = 4 и AK = 3.
а) Докажите, что плоскости MNK и SBC параллельны.
б) Найдите расстояние от точки M до плоскости SBC.
Решение:
а) M(8;-4;0), N(-8;-4;0), A(8;-8;0), S(0;0;4)
AS(-8;8;4), AK(-2;2;1)
K(6;-6;1), B(8;8;0), C(-8;8;0)
16+128=144=122
Угол между плоскостями равен углу между их перпендикулярами.
Найдем
, который ⊥ пл-ти MNK, с помощью уравнения пл-ти:

=(x+8.0-(y+4)(16-0)+z.(-32.0) = 0.x-16y-64-32z = 0.x+y+2z+4=0 ⇒
(0;1;2)
Найдем
, который ⊥ пл-ти SBC, с помощью уравнения пл-ти:

=x(-32+32)-y(-32-32)+(z-4)(64+64) = 0.x+64y+128z-512 = 0.x+y+2x-8 = 0 ⇒
(0;1;2)
cosα, где α угол между
и
.


Ответ: 90
б) Расстояние от (.) Mo до пл-ти Ax+By+Cz+D=0:

Нам нужно найти ρ от (.) M до пл-ти SBC/
M(8;-4;0)
Уравнения пл-ти SBC:
0.x+64y+128z-512 = 0
Тогда ρ:
}}=-frac{768}{64-sqrt5}=-frac{12}{-sqrt5}=-frac{12-sqrt5}{5}.png)
Ответ: 
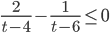
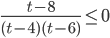
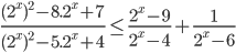
15. Решите неравенство 
Решение:
|
ОДЗ 4x-5.2x+4≠0 ⇒ x≠2;x≠0 2x-4≠0 ⇒ x≠2 2x-6≠0 ⇒ x≠log26 |


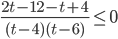
(t-1)}{(t-4)(t-1)}-leq -frac{t-9}{t-4}+-frac{1}{t-6}.png)


-(t-4)}{(t-4)(t-6)}-leq 0.png)
(t-6)}-leq 0.png)
(t-6)}-leq 0.png)
t ∈ (-∞;4) ∪ (6;8]
x ∈ (-∞;2) ∪ (log26;3]
Включая ОДЗ получаем:
Ответ: x ∈ (-∞;0) ∪ (0;2) ∪ (log26;3]
16. В трапеции ABCD точка E — середина основания AD, точка M — середина боковой стороны AB. Отрезки CE и DM пересекаются в точке O.
а) Докажите, что площади четырёхугольника AMOE и треугольника COD равны.
б) Найдите, какую часть от площади трапеции составляет площадь четырёхугольника AMOE, если BC = 3, AD = 4.
17. В июле 2016 года планируется взять кредит в банке на четыре года в размере S млн рублей, где S — целое число. Условия его возврата таковы:
— каждый январь долг увеличивается на 15% по сравнению с концом предыдущего года;
— с февраля по июнь каждого года необходимо выплатить часть долга;
— в июле каждого года долг должен составлять часть кредита в соответствии со следующей таблицей.
| Месяц и год | Июль 2016 | Июль 2017 | Июль 2018 | Июль 2019 | Июль 2020 |
| Долг (в млн рублей) | S | 0,8S | 0,5S | 0,1S | 0 |
Найдите наибольшее значение S, при котором общая сумма выплат будет меньше 50 млн рублей.
Решение:
1-ая выплата: 0,15S+0,2S=0,35S
2-ая выплата: 0,8.0,15S+0,3S=0,12S+0,3S=0,42S
3-ая выплата: 0,5.0,15S+0,4S=0,075S+0,4S=0,475S
4-ая выплата: 0,1.0,15S+0,1S=0,015S+0,1S=0,115S
Сумма выплат: 0,35S+0,42S+0,475S+0,115S=1,36S
Нам нужно наидольшее S, при котором сумма выплат < 50 млн.
1,36S < 50
S < 50/1,36
S=36
Наибольшее целое решение = 36
Ответ: 36
18. Найдите все значение a, при каждом из которых уравнение имеет ровно один корень.

19. На доске написано 10 неотрицательных чисел. За один ход стираются два числа, а вместо них записывается сумма, округлённая до целого числа (например, вместо 5,5 и 3 записывается 9, а вместо 3,3 и 5 записывается 8).
а) Приведите пример 10 нецелых чисел и последовательности 9 ходов, после которых на доске будет записано число, равное сумме исходных чисел.
б) Может ли после 9 ходов на доске быть написано число, отличающееся от суммы исходных чисел на 7?
в) На какое наибольшее число могут отличаться числа, записанные на доске после 9 ходов, выполненных с одним и тем же набором исходных чисел в различном порядке?










^2-8.2^x+7}{(2^x)^2-5.2^x+4}-leq -frac{2^x-9}{2^x-4}+-frac{1}{2^x-6}.png)
