5. Уравнения и неравенства
Демонстрационный вариант Единый государственный экзамен ЕГЭ 2017-2018 г. – задание №5. Найдите корень уравнения
Найдите корень уравнения 3x − 5= 81.
Ответ:
3x-5=81⇔3x-5=34
Так как показания у степеней одинаковые, то их можно убрать, тогда мы получаем выражение:
х-5=4⇔х=9
Ответ: 9
Найдите корень уравнения: Если уравнение имеет более одного корня, укажите меньший из них.
Ответ:
Решим квадратное уравнение:

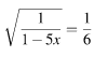
Решите уравнение:
Ответ:
Возведем в квадрат:
Ответ: -7
Найдите корни уравнения:
В ответ запишите наибольший отрицательный корень.
Ответ:
Значениям соответствуют положительные корни.
Если , то
и
.
Если , то
и
.
Значениям соответствуют меньшие значения корней.
Следовательно, наибольшим отрицательным корнем является число .
Ответ: -4
Найдите корень уравнения
Ответ:
Ответ: -42





