2. Действия со степенями
Демонстрационный вариант Единый государственный экзамен ЕГЭ 2017 – 2018 г. – задание №2 Найдите значение выражения:

Решение:
=
=
=
Ответ: 40
ИЛИ
Найдите значение выражения:

Решение:
=
=
=
=
Ответ: 54
Демонстрационный вариант Единый государственный экзамен ЕГЭ 2016 г. (досрочный) – задание №1
Найдите значение выражения:
-div(1,9-cdot 10^{-2}).png)
Решение:
-div(1,9-cdot 10^{-2}).png)


Ответ: 300000
Найдите значение выражения:

Решение:

Ответ: 4,8
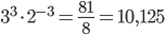
Найдите значение выражения:
Ответ:
Ответ: 2
Найдите значение выражения:
Ответ:



Ответ: 10,125