1. Действия с дробями
Демонстрационный вариант Единый государственный экзамен ЕГЭ 2017 – 2018 г. – задание №1 Найдите значение выражения:
-cdot2,4.png)
Решение:
-cdot2,4=3,5-cdot2,4=8,4..png)
Ответ: 8,4
ИЛИ
Найдите значение выражения:
(
+
)·6.
Решение:
(
+
)·6=
·6=
·6=
=3,2
Ответ: 3,2
Демонстрационный вариант Единый государственный экзамен ЕГЭ 2016 г. (досрочный) – задание №1
Найдите значение выражения:

Ответ:




Ответ: 3
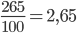
Демонстрационный вариант Единый государственный экзамен ЕГЭ 2016 г. – задание №1
Найдите значение выражения:

Решение:




Ответ: 2,65
Найдите значение выражения:
-cdot45.png)
Решение:
-cdot45=-frac{9-5}{15}-cdot45=-frac{4}{15}-cdot45=4-cdot3=12.png)
Ответ: 12
Найдите значение выражения:

Решение:

Ответ: 4,3
Найдите значение выражения:

Решение:

Ответ: 1,075
Найдите значение выражения:

Решение:

Ответ: 0,55
Найдите значение выражения:

Решение:

Ответ: 7,1