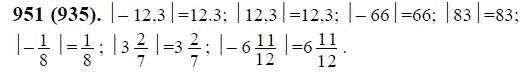
Решения домашних заданий по математике 6 класс Виленкин, Жохов, Чесноков, Шварцбурд 951(935) упражнение
|
| Дисциплина: Математика |
| Класс: 6 класс |
| Автор: Виленкин, Жохов, Чесноков, Шварцбурд Год издания: 2000-2004-2010 |
|
Перейти к упражнению
-
1 2 3 4 5 6 7 8 9 10 11 12 13 14 15 16 17 18 19 20 21 22 23(n) 24(n) 25(23) 26(24) 27(25) 28(26) 29(27) 30(28) 31(29) 32(30) 33(31) 34(32) 35(33) 36(34) 37(35) 38(36) 39(37) 40(38) 41(39) 42(40) 43(41) 44(42) 45(43) 46(44) 47(45) 48(46) 49(47) 50(48) 51(49) 52(50) 53(n) 54(51) 55(52) 56(53) 57(54) 58(55) 59(56) 60(57) 61(58) 62(59) 63(60) 64(61) 65(62) 66(63) 67(64) 68(65) 69(66) 70(67) 71(68) 72(69) 73(70) 74(71) 75(72) 76(73) 77(74) 78(75) 79(76) 80(n) 81(n) 82(77) 83(78) 84(79) 85(80) 86(81) 87(82) 88(83) 89(84) 90(85) 91(86) 92(87) 93(88) 94(89) 95(90) 96(91) 97(92) 98(93) 99(94) 100(95) 101(96) 102(97) 103(98) 104(99) 105(100) 106(101) 107(102) 108(n) 109(103) 110(104) 111(105) 112(106) 113(107) 114(108) 115(109) 116(110) 117(111) 118(112) 119(113) 120(114) 121(115) 122(116) 123(117) 124(118) 125(119) 126(120) 127(121) 128(122) 129(123) 130(124) 131(125) 132(126) 133(127) 134(128) 135(129) 136(130) 137(n) 138(131) 139(132) 140(133) 141(134) 142(135) 143(136) 144(137) 145(138) 146(139) 147(140) 148(141) 149(142) 150(143) 151(144) 152(145) 153(146) 154(147) 155(148) 156(149) 157(150) 158(151) 159(152) 160(n) 161(153) 162(154) 163(155) 164(156) 165(157) 166(158) 167(159) 168(160) 169(161) 170(162) 171(163) 172(164) 173(165) 174(166) 175(167) 176(168) 177(169) 178(170) 179(171) 180(172) 181(173) 182(174) 183(175) 184(176) 185(177) 186(178) 187(179) 188(180) 189(181) 190(182) 191(183) 192(184) 193(185) 195(186) 196(187) 197(188) 198(189) 199(190) 200(191) 201(192) 202(193) 203(194) 204(195) 205(196) 206(197) 207(198) 208(199) 209(200) 210(201) 211(202) 212(203) 213(204) 214(205) 215(206) 216(207) 217(208) 218(209) 219(210) 220(211) 222(213) 223(214) 224(215) 225(216) 226(217) 227(218) 228(219) 229(220) 230(221) 231(222) 232(n) 233(223) 234(224) 235(225) 236(226) 237(227) 238(228) 239(229) 240(230) 241(231) 242(232) 243(233) 244(234) 245(235) 246(236) 247(237) 250(240) 251(241) 252(242) 253(243) 254(244) 255(245) 256(246) 257(247) 258(238) 258(248) 259(249) 260(250) 261(251) 262(n) 263(252) 264(n) 265(254) 266(255) 267(256) 268(257) 269(239) 269(258) 270(259) 271(260) 272(261) 273(262) 274(263) 275(264) 276(265) 277(266) 278(267) 279(268) 280(269) 281(270) 282(271) 283(272) 284(273) 285(274) 286(275) 287(276) 288(277) 289(278) 290(279) 291(280) 292(281) 293(n) 294(282) 295(283) 296(284) 297(285) 298(286) 299(287) 300(288) 301(289) 302(290) 303(291) 304(292) 305(293) 306(294) 307(295) 308(296) 309(297) 310(298) 311(299) 312(300) 313(301) 314(302) 315(303) 316(304) 317(305) 318(306) 319(307) 320(308) 321(309) 322(310) 323(311) 324(312) 325(313) 326(314) 327(315) 328(316) 329(317) 330(318) 331(319) 332(320) 333(321) 334(322) 335(323) 335(519) 336(324) 337(325) 338(326) 339(327) 340(328) 341(329) 342(330) 343(331) 344(332) 345(333) 346(334) 347(335) 348(336) 349(337) 350(338) 351(339) 352(340) 353(341) 354(342) 355(n) 356(343) 357(344) 358(345) 359(346) 360(347) 361(348) 362(349) 363(350) 364(351) 365(352) 366(353) 367(354) 368(355) 369(356) 370(357) 371(358) 372(359) 373(360) 374(361) 375(362) 376(363) 377(364) 378(365) 379(366) 380(367) 381(368) 382(369) 383(370) 384(371) 385(372) 386(373) 387(374) 388(375) 389(376) 390(377) 391(378) 392(379) 393(380) 394(381) 395(382) 396(383) 397(384) 398(385) 399(386) 400(387) 401(388) 402(389) 403(390) 404(391) 405(392) 406(393) 407(394) 408(395) 409(396) 410(n) 411(397) 412(398) 413(399) 414(400) 415(401) 416(402) 417(403) 418(404) 419(405) 420(406) 421(407) 422(408) 423(409) 424(410) 425(411) 426(412) 427(413) 428(414) 429(415) 430(416) 431(417) 432(418) 433(419) 434(420) 435(421) 436(422) 437(423) 438(424) 439(425) 440(426) 441(427) 442(428) 443(429) 444(430) 445(431) 446(432) 447(433) 448(434) 449(435) 450(436) 451(437) 452(438) 453(439) 454(440) 455(441) 456(442) 457(443) 458(444) 459(445) 460(446) 461(447) 462(n) 463(448) 464(449) 465(450) 466(451) 467(452) 468(453) 469(454) 470(455) 471(456) 472(457) 473(458) 474(459) 475(460) 476(461) 477(462) 478(463) 479(464) 480(465) 481(466) 482(467) 483(468) 484(469) 485(470) 486(471) 487(472) 488(473) 489(474) 490(475) 491(476) 492(477) 493(478) 494(479) 495(480) 496(481) 497(482) 498(483) 500(485) 501(486) 502(487) 503(488) 504(489) 505(490) 506(491) 507(492) 508(493) 509(494) 510(495) 511(496) 512(497) 513(498) 514(499) 515(500) 516(501) 517(n) 518(502) 519(503) 520(504) 521(505) 522(506) 523(507) 524(508) 525(509) 526(510) 527(511) 528(512) 529(513) 530(514) 531(515) 532(516) 533(517) 534(518) 536(520) 537(521) 538(522) 539(523) 540(524) 541(525) 542(526) 543(527) 544(528) 545(529) 546(530) 547(531) 548(532) 549(533) 550(534) 551(535) 552(536) 553(537) 554(538) 555(539) 556(540) 557(541) 558(542) 559(543) 560(544) 561(545) 562(546) 563(547) 564(548) 565(549) 566(550) 567(551) 568(552) 569(553) 570(554) 571(555) 572(556) 573(557) 574(558) 575(559) 576(560) 577(561) 578(562) 579(563) 580(564) 581(565) 582(566) 583(567) 584(568) 585(569) 586(570) 587(571) 588(572) 589(573) 590(574) 591(575) 592(576) 593(577) 594(578) 595(579) 596(580) 597(581) 598(582) 599(583) 600(584) 601(585) 602(586) 603(587) 604(588) 605(589) 606(590) 607(591) 608(592) 609(593) 610(594) 611(595) 612(596) 613(597) 614(598) 615(599) 616(600) 617(601) 618(602) 619(603) 620(604) 621(605) 622(606) 623(607) 624(608) 625(609) 626(610) 627(611) 628(612) 629(613) 630(614) 631(615) 632(616) 633(617) 634(618) 635(619) 636(620) 637(621) 638(622) 639(623) 640(624) 641(625) 642(626) 643(627) 644(628) 645(629) 646(630) 647(631) 648(632) 649(633) 650(634) 651(635) 652(636) 653(637) 654(638) 655(639) 656(640) 657(641) 658(642) 659(643) 660(644) 661(645) 662(646) 663(647) 664(648) 665(649) 666(650) 667(651) 668(652) 669(653) 670(654) 671(655) 672(656) 673(657) 674(658) 675(659) 676(660) 677(661) 678(662) 679(663) 680(664) 681(665) 682(666) 683(667) 684(668) 685(669) 686(670) 687(671) 688(672) 689(673) 690(674) 691(675) 692(676) 693(677) 694(678) 695(679) 696(680) 697(681) 698(682) 699(683) 700(684) 701(685) 702(686) 703(687) 704(688) 705(689) 706(690) 707(691) 708(692) 709(693) 710(694) 711(695) 712(696) 713(697) 714(698) 715(699) 716(700) 717(701) 718(702) 719(703) 720(704) 721(705) 722(706) 723(707) 724(708) 725(709) 726(710) 727(711) 728(712) 729(713) 730(714) 731(715) 732(716) 733(717) 734(718) 735(719) 736(720) 737(721) 738(722) 739(723) 740(724) 741(725) 742(726) 743(727) 744(728) 745(729) 746(730) 747(731) 748(732) 749(733) 750(734) 751(735) 752(736) 753(737) 754(738) 755(739) 756(740) 757(741) 758(742) 759(743) 760(744) 761(745) 762(746) 763(747) 764(748) 765(749) 766(750) 767(751) 768(752) 769(753) 770(754) 771(755) 772(756) 773(757) 774(758) 775(759) 776(760) 777(761) 778(762) 779(763) 780(764) 781(765) 782(766) 783(767) 784(768) 785(769) 786(770) 787(771) 788(772) 789(773) 790(774) 791(775) 792(776) 793(777) 794(778) 795(779) 796(780) 797(781) 798(782) 799(783) 800(784) 801(785) 802(786) 803(787) 804(788) 805(789) 806(790) 807(791) 808(792) 809(793) 810(794) 811(795) 812(796) 813(797) 814(798) 815(799) 816(800) 817(801) 818(802) 819(803) 820(804) 821(805) 822(806) 823(807) 824(808) 825(809) 826(810) 827(811) 828(812) 829(813) 830(814) 831(815) 832(816) 833(817) 834(818) 835(819) 836(820) 837(821) 837(831) 838(822) 839(823) 840(824) 841(825) 842(826) 843(827) 844(828) 845(829) 846(830) 848(832) 849(833) 850(834) 851(835) 852(836) 853(837) 854(838) 855(839) 856(840) 857(841) 858(842) 859(843) 860(844) 861(845) 862(846) 863(847) 864(848) 865(849) 866(850) 867(851) 868(852) 869(853) 870(854) 871(855) 872(856) 873(857) 874(858) 875(859) 876(860) 877(861) 878(862) 879(863) 880(864) 881(865) 882(866) 883(867) 884(868) 885(869) 886(870) 887(871) 888(872) 889(873) 890(874) 891(875) 892(876) 893(877) 894(878) 895(879) 896(880) 897(881) 898(882) 899(883) 900(884) 901(885) 902(886) 903(887) 904(888) 905(889) 906(890) 907(891) 908(892) 909(893) 910(894) 911(895) 912(896) 913(897) 914(898) 915(889) 916(900) 917(901) 918(902) 919(903) 920(904) 921(905) 922(906) 923(907) 924(908) 925(909) 926(910) 927(911) 928(912) 929(913) 930(914) 931(915) 932(916) 933(917) 934(918) 935(919) 936(920) 937(921) 938(922) 939(923) 940(924) 941(925) 942(926) 943(927) 944(928) 945(929) 946(930) 947(931) 949(933) 950(934) 951(935) 952(936) 953(937) 954(938) 955(939) 956(940) 957(941) 958(942) 959(943) 960(944) 961(945) 962(946) 963(947) 964(948) 965(949) 966(950) 967(951) 968(952) 969(953) 970(954) 971(955) 972(956) 973(957) 974(958) 975(959) 976(960) 977(961) 978(962) 979(963) 980(964) 981(965) 982(966) 983(967) 984(968) 985(969) 986(970) 987(971) 988(972) 989(973) 990(973) 991(975) 992(976) 993(977) 994(978) 995(979) 996(980) 997(981) 998(982) 999(983) 1000(984) 1001(985) 1002(986) 1003(987) 1004(988) 1005(989) 1006(990) 1007(991) 1008(992) 1009(993) 1010(994) 1011(995) 1012(996) 1013(997) 1014(998) 1015(999) 1016(1000) 1017(1001) 1018(1002) 1019(1003) 1020(1004) 1021(1005) 1022(1006) 1023(1007) 1024(1008) 1025(1009) 1026(1010) 1027(1011) 1028(1012) 1029(1013) 1030(1014) 1031(1015) 1032(1016) 1033(1017) 1034(1018) 1035(1019) 1036(1020) 1037(1021) 1038(1022) 1039(1023) 1040(1024) 1041(1025) 1042(1026) 1043(1027) 1044(1028) 1045(1029) 1046(1030) 1047(1031) 1048(1032) 1049(1033) 1050(1034) 1051(1035) 1052(1036) 1053(1037) 1054(1038) 1055(1039) 1056(1040) 1057(1041) 1058(1042) 1059(1043) 1060(1044) 1061(1045) 1062(1046) 1063(1047) 1064(1048) 1065(1049) 1066(1050) 1067(1051) 1068(1052) 1069(1053) 1070(1054) 1071(1055) 1072(1056) 1073(1057) 1074(1058) 1075(1059) 1076(1060) 1077(1061) 1078(1062) 1079(1063) 1080(1064) 1081(1065) 1082(1066) 1083(1067) 1084(1068) 1085(1069) 1086(1070) 1087(1071) 1088(1072) 1089(1073) 1090(1074) 1091(1075) 1092(1076) 1093(1077) 1094(1078) 1095(1079) 1096(1080) 1097(1081) 1098(1082) 1099(1083) 1100(1084) 1101(1085) 1102(1086) 1103(1087) 1104(1088) 1105(1089) 1106(1090) 1107(1091) 1108(1092) 1109(1093) 1110(1094) 1111(1095) 1112(1096) 1113(1097) 1114(1098) 1115(1099) 1116(1100) 1117(1101) 1118(1102) 1119(1103) 1120(1104) 1121(1105) 1122(1106) 1123(1107) 1124(1108) 1125(1109) 1126(1110) 1127(1111) 1128(1112) 1129(1113) 1130(1114) 1131(1115) 1132(1116) 1133(1117) 1134(1118) 1135(1119) 1136(1120) 1137(1121) 1138(1122) 1139(1123) 1140(1124) 1141(1125) 1142(1126) 1143(1127) 1144(1128) 1145(1129) 1146(1130) 1147(1131) 1148(1132) 1149(1133) 1150(1134) 1151(1135) 1152(1136) 1153(1137) 1154(1138) 1155(1139) 1156(1140) 1157(1141) 1158(1142) 1159(1143) 1160(1144) 1161(1145) 1162(1146) 1163(1147) 1164(1148) 1165(1149) 1166(1150) 1167(1151) 1168(1152) 1169(1153) 1170(1154) 1171(1155) 1172(1156) 1173(1157) 1174(1158) 1175(1159) 1176(1160) 1177(1161) 1178(1162) 1179(1163) 1180(1164) 1181(1165) 1182(1166) 1183(1167) 1184(1168) 1185(1169) 1186(1170) 1187(1171) 1188(1172) 1189(1173) 1190(1174) 1191(1175) 1192(1176) 1193(1177) 1194(1178) 1195(1179) 1196(1180) 1197(1181) 1198(1182) 1199(1183) 1200(1184) 1201(1185) 1202(1186) 1203(1187) 1204(1188) 1205(1189) 1206(1190) 1207(1191) 1208(1192) 1209(1993) 1210(1194) 1211(1195) 1212(1196) 1213(1197) 1214(1198) 1215(1199) 1216(1200) 1217(1201) 1218(1202) 1219(1203) 1220(1204) 1221(1205) 1222(1206) 1223(1207) 1224(1208) 1225(1209) 1226(1210) 1227(1211) 1228(1212) 1229(1213) 1230(1214) 1231(1215) 1232(1216) 1233(1217) 1234(1218) 1235(1219) 1236(1220) 1237(1221) 1238(1222) 1239(1223) 1240(1224) 1241(1225) 1242(1226) 1243(1227) 1244(1228) 1245(1229) 1246(1230) 1247(1231) 1248(1232) 1249(1249) 1250(1234) 1251(1235) 1252(1236) 1253(1237) 1254(1238) 1255(1239) 1256(1240) 1256(1260) 1257(1241) 1258(1242) 1259(1243) 1260(1244) 1261(1245) 1262(1246) 1263(1274) 1264(1248) 1265(1249) 1266(1250) 1267(1251) 1268(1252) 1269(1253) 1270(1254) 1271(1255) 1272(1256) 1273(1257) 1274(1258) 1275(1259) 1277(1261) 1278(1262) 1279(1263) 1280(1264) 1281(1265) 1282(1266) 1283(1267) 1284(1268) 1285(1269) 1286(1270) 1287(1271) 1288(1272) 1289(1273) 1290(1274) 1291(1275) 1292(1276) 1293(1277) 1294(1278) 1295(1279) 1296(1280) 1297(1281) 1298(1282) 1299(1283) 1300(1284) 1301(1285) 1302(1286) 1303(1287) 1304(1288) 1305(1289) 1306(1290) 1307(1291) 1308(1292) 1309(1293) 1310(1294) 1311(1295) 1312(1296) 1313(1297) 1314(1298) 1315(1299) 1316(1300) 1317(1301) 1318(1302) 1319(1303) 1320(1304) 1321(1305) 1322(1306) 1323(1307) 1324(1308) 1325(1309) 1326(1310) 1327(1311) 1328(1312) 1329(1313) 1330(1314) 1331(1315) 1332(1316) 1333(1317) 1334(1318) 1335(1319) 1336(1320) 1337(1321) 1338(1322) 1339(1323) 1340(1324) 1341(1325) 1342(1326) 1343(1327) 1344(1328) 1345(1329) 1346(1330) 1347(1331) 1348(1332) 1349(1333) 1350(1334) 1351(1335) 1352(1336) 1353(1337) 1354(1338) 1355(1339) 1356(1340) 1357(1341) 1358(1342) 1359(1343) 1360(1344) 1361(1345) 1362(1346) 1363(1347) 1364(1348) 1365(1349) 1366(1350) 1367(1351) 1368(1352) 1369(1353) 1370(1354) 1371(1355) 1372(1356) 1373(1357) 1374(1358) 1376(1360) 1377(1361) 1378(1362) 1379(1363) 1380(1364) 1381(1365) 1382(1366) 1383(1367) 1384(1368) 1385(1369) 1386(1370) 1387(1371) 1388(1372) 1389(1373) 1390(1374) 1391(1375) 1392(1376) 1393(1377) 1394(1378) 1395(1379) 1396(1380) 1397(1381) 1398(1382) 1399(1383) 1400(1384) 1401(1385) 1402(1386) 1403(1387) 1404(1388) 1405(1389) 1406(1390) 1407(1391) 1408(1392) 1409(1393) 1410(1394) 1411(1395) 1412(1396) 1413(1397) 1414(1398) 1415(1399) 1416(1400) 1417(1401) 1418(1402) 1419(1403) 1420(1404) 1421(1405) 1422(1406) 1423(1407) 1424(1408) 1425(1409) 1426(1410) 1427(1411) 1428(1412) 1429(1413) 1430(1414) 1431(1415) 1432(1416) 1433(1417) 1434(1418) 1435(1419) 1436(1420) 1437(1421) 1438(1422) 1439(1423) 1440(1424) 1441(1425) 1442(1426) 1443(1427) 1444(1428) 1445(1429) 1446(1430) 1447(1431) 1448(1432) 1449(1433) 1450(1434) 1451(1435) 1452(1436) 1453(1437) 1454(1438) 1455(1439) 1456(1440) 1457(1441) 1458(1442) 1459(1443) 1460(1444) 1461(1445) 1462(1446) 1463(1447) 1464(1448) 1465(1449) 1466(1450) 1467(1451) 1468(1452) 1469(1453) 1470(1454) 1471(1455) 1472(1456) 1473(1457) 1474(1458) 1475(1459) 1476(1460) 1477(1461) 1478(1462) 1479(1463) 1480(1464) 1481(1465) 1482(1466) 1483(1467) 1484(1468) 1485(1469) 1486(1470) 1487(1471) 1488(1472) 1489(1473) 1490(1474) 1491(1475) 1492(1476) 1493(1477) 1494(1478) 1495(1479) 1496(1480) 1497(1481) 1498(1482) 1499(1483) 1500(1484) 1501(1485) 1502(1486) 1503(1487) 1504(1488) 1505(1489) 1506(1490) 1507(1491) 1508(1492) 1509(1493) 1510(1494) 1511(1495) 1512(1496) 1513(1497) 1514(1498) 1515(1499) 1516(1500) 1517(1501) 1518(1502) 1519(1503) 1520(1504) 1521(1505) 1522(1506) 1523(1507) 1524(1508) 1525(1509) 1526(1510) 1527(1511) 1528(1512) 1529(1513) 1530(1514) 1531(1515) 1532(1516) 1533(1517) 1534(1518) 1535(1519) 1536(1520) 1537(1521) 1538(1522) 1539(1523) 1540(1524) 1541(1525) 1542(1526) 1543(1527) 1544(1528) 1545(1529) 1546(1530) 1547(1531) 1548(1532) 1549(1533) 1550(1534) 1551(1535) 1552(1536) 1553(1537) 1554(1538) 1555(1539) 1556(1540) 1557(1541) 1558(1542) 1559(1543) 1560(1544) 1561(1545) 1562(1546) 1563(1547) 1564(1548) 1565(1549) 1566(1550) 1567(1551) 1568(1552) 1569(1553) 1570(1554) 1571(1555) 1572(1556) 1573(1557) 1574(1558) 1575(1559) 1576(1560) 1577(1561) 1578(1562) 1579(1563) 1580(1564) 1581(1565) 1582(1566) 1583(1567) 1584(1568) 1585(1569) 1586(1570) 1587(1571) 1588(1572) 1589(1573) 1590(1574) 1591(1575) 1592(1576) 1593(1577) 1594(1578) 1595(1579)