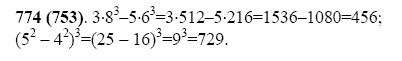
Решения домашних заданий по математике 5 класс Виленкин Н.Я., Жохов В.И., Чесноков А.С., Шварцбурд С.И. 774(753) упражнение
|
| Дисциплина: Математика |
| Класс: 5 класс |
| Автор: Виленкин Н.Я., Жохов В.И., Чесноков А.С., Шварцбурд С.И. Год издания: 2000-2004-2009 |
|
Перейти к упражнению
-
1(1) 11(n) 2(2) 3(3) 4(4) 5(5) 6(6) 7(7) 8(8) 9(9) 132(n) 165(n) 210 253 254 255 256 268(n) 283(n) 323(n) 356(n) 420 432(n) 441(n) 477 510(n) 539 598(n) 634 653(n) 654(n) 656(n) 667(n) 725(n) 733(n) 741 750(n) 775(n) 789 807(n) 835(n) 872 922(n) 940 10(10) 1023 1035(n) 1070 1071(n) 12(11) 13(12) 14(13) 1504(n) 1506(n) 15(14) 1553 16(15) 1697 17(16) 1724 1728(n) 1750(n) 1753 1755(c) 1767 1772(c) 1782 1784 1805(c) 1806 1807(c) 1814(c) 18(17) 1820(c) 19(18) 20(19) 21(20) 22(21) 23(22) 24(23) 25(24) 26(25) 27(26) 28(27) 29(28) 30(29) 31(30) 32(31) 33(32) 34(33) 35(34) 36(35) 37(36) 38(37) 39(38) 40(39) 41(40) 42(41) 43(42) 44(43) 46(45) 47(46) 49(48) 50(49) 51(50) 52(51) 53(52) 54(53) 55(54) 56(55) 58(57) 59(58) 60(59) 61(60) 62(61) 63(62) 64(63) 65(64) 66(65) 67(66) 68(67) 70(69) 71(70) 72(71) 73(72) 74(73) 75(74) 76(75) 77(76) 78(77) 79(78) 80(79) 81(80) 82(81) 83(82) 84(83) 85(84) 86(85) 87(86) 88(87) 89(88) 90(89) 91(90) 92(91) 93(92) 94(93) 95(94) 97(95) 98(96) 100(98) 101(99) 102(100) 103(101) 104(102) 105(103) 106(104) 107(105) 108(106) 109(107) 110(108) 111(109) 112(110) 113(111) 114(112) 115(113) 116(114) 117(115) 118(116) 119(117) 120(118) 121(119) 122(120) 123(121) 124(122) 125(123) 126(124) 127(125) 128(126) 129(127) 130(128) 131(129) 133(130) 134(131) 135(132) 136(133) 137(134) 138(135) 139(136) 140(137) 141(138) 142(139) 143(140) 144(141) 145(142) 146(143) 147(144) 148(145) 149(146) 150(147) 151(148) 152(149) 153(150) 154(151) 155(152) 156(153) 157(154) 158(155) 159(156) 160(157) 161(158) 162(159) 163(160) 164(161) 166(162) 167(163) 168(164) 169(165) 170(166) 171(167) 172(168) 173(169) 174(170) 175(171) 176(172) 177(173) 178(174) 179(175) 180(176) 181(177) 182(178) 183(179) 184(180) 185(181) 186(182) 187(183) 188(184) 189(185) 190(186) 191(187) 192(188) 193(189) 194(190) 195(191) 196(192) 197(193) 198(194) 199(195) 200(196) 201(197) 202(198) 203(199) 204(200) 205(201) 206(202) 207(203) 208(204) 209(205) 211(207) 212(208) 213(209) 214(210) 215(211) 216(212) 217(213) 218(214) 220(216) 221(217) 222(218) 225(221) 226(222) 227(223) 229(224) 230(225) 231(226) 232(227) 233(228) 234(229) 235(230) 236(231) 237(232) 238(233) 239(234) 240(235) 242(237) 243(238) 244(239) 245(240) 246(241) 247(242) 248(243) 249(244) 250(245) 251(246) 252(247) 257(252) 258(253) 259(254) 260(255) 261(256) 262(257) 263(258) 264(259) 265(260) 266(261) 267(262) 269(263) 270(264) 271(265) 272(266) 273(267) 275(269) 277(271) 278(272) 279(273) 280(274) 281(275) 282(276) 284(277) 285(278) 286(279) 287(280) 288(281) 289(282) 290(283) 291(284) 292(285) 293(286) 294(287) 295(288) 296(289) 297(290) 298(291) 299(292) 302(295) 303(296) 304(297) 305(298) 306(299) 307(300) 308(301) 309(302) 310(303) 311(304) 312(305) 313(306) 314(307) 315(308) 316(309) 317(310) 318(311) 319(312) 320(313) 321(314) 322(315) 325(317) 326(318) 327(319) 328(320) 329(321) 330(322) 332(324) 333(325) 334(326) 335(327) 336(328) 337(329) 338(330) 339(331) 340(332) 341(333) 342(316) 342(334) 343(335) 344(336) 345(337) 346(338) 347(339) 348(340) 349(341) 350(342) 352(344) 353(347) 354(345) 355(346) 357(348) 358(349) 359(350) 360(351) 361(352) 362(353) 363(354) 364(355) 365(356) 366(357) 367(358) 368(359) 369(360) 370(361) 371(362) 372(363) 373(364) 374(365) 375(366) 376(367) 377(368) 378(369) 379(370) 380(371) 381(372) 382(373) 383(374) 384(377) 385(378) 386(375) 387(376) 389(379) 390(380) 391(381) 392(382) 393(383) 394(384) 395(385) 396(386) 397(387) 398(388) 399(389) 400(390) 401(391) 402(392) 403(393) 404(394) 405(395) 406(396) 407(397) 408(398) 409(399) 410(400) 411(401) 412(402) 413(403) 414(404) 415(405) 416(406) 417(407) 418(408) 419(409) 421(411 422(412) 423(413) 424(414) 425(415) 426(416) 427(417) 428(418) 429(419) 430(420) 433(422) 434(423) 435(424) 436(425) 437(426) 438(427) 439(428) 442(430) 444(432) 445(433) 446(434) 448(435) 449(436) 450(437) 451(438) 452(439) 453(440) 454(441) 455(442) 456(443) 457(444) 458(445) 459(447) 460(448) 461(449) 462(450) 464(452) 465(453) 466(454) 467(455) 468(456) 469(457) 470(458) 471(459) 472(460) 473(461) 474(462) 475(463) 476(464) 479(467) 480(468) 481(469) 482(470) 483(471) 484(472) 485(473) 486(474) 487(475) 488(476) 489(477) 490(478) 491(479) 492(480) 493(481) 494(482) 495(483) 496(484) 497(485) 498(486) 499(487) 500(488) 501(489) 502(490) 503(491) 504(492) 505(493) 506(494) 507(495) 508(496) 509(497) 511(498) 512(499) 513(500) 514(501) 515(502) 516(503) 517(504) 518(505) 519(506) 520(507) 521(508) 522(509) 523(510) 524(511) 525(512) 527(514) 529(516) 530(517) 531(518) 532(519) 533(520) 534(521) 535(522) 536(523) 537(524) 538(525) 540(527) 541(528) 542(529) 543(530) 544(531) 545(532) 546(533) 547(534) 548(535) 549(536) 550(537) 551(538) 552(539) 553(540) 554(541) 555(542) 556(543) 557(544) 558(545) 559(546) 560(547) 561(548) 562(549) 563(550) 564(551) 565(552) 566(553) 567(554) 568(555) 569(556) 570(557) 571(558) 572(559) 573(560) 574(561) 575(562) 576(563) 577(564) 579(566) 580(567) 581(568) 582(569) 584(571) 585(572) 586(573) 587(574) 588(575) 589(576) 590(577) 591(578) 592(579) 593(580) 595(582) 596(583) 597(584) 599(585) 600(586) 601(587) 602(588) 603(589) 604(590) 605(591) 606(592) 607(593) 608(594) 609(595) 610(596) 611(597) 612(598) 613(599) 614(600) 615(601) 616(602) 617(603) 618(604) 619(605) 620(606) 621(607) 622(608) 623(609) 624(610) 625(611) 626(612) 627(613) 628(614) 629(615) 630(616) 631(617) 632(618) 633(619) 635(621) 636(622) 637(623) 638(624) 639(625) 640(626) 641(627) 642(628) 643(629) 644(630) 645(631) 646(632) 647(633) 648(634) 649(635) 650(636) 652(638) 655(639) 657(640) 658(641) 659(642) 660(643) 661(644) 662(645) 663(646) 664(647) 665(648) 666(649) 668(650) 669(651) 670(652) 671(653) 672(654) 673(655) 674(656) 675(657) 676(658) 677(659) 678(660) 679(661) 680(662) 681(663) 682(664) 683(665) 684(666) 685(667) 686(668) 687(669) 688(670) 689(671) 690(672) 691(673) 692(674) 693(675) 695(676) 696(677) 697(678) 698(679) 699(680) 700(681) 701(682) 702(683) 703(684) 704(685) 705(686) 706(687) 707(688) 708(689) 709(690) 710(691) 711(692) 712(693) 713(694) 714(695) 715(696) 716(697) 717(698) 718(699) 719(700) 720(701) 721(702) 722(703) 723(704) 724(705) 727(707) 728(708) 729(709) 730(710) 731(711) 732(712) 734(713) 735(714) 736(715) 737(716) 738(717) 739(718) 740(719) 742(721) 743(722) 744(723) 745(724) 746(725) 747(726) 748(727) 749(728) 751(730) 752(731) 753(732) 754(733) 755(734) 756(735) 757(736) 758(737) 759(738) 760(739) 761(740) 762(741) 763(742) 764(743) 765(744) 766(745) 767(746) 768(747) 769(748) 770(749) 771(750) 772(751) 773(752) 774(753) 776(754) 777(755) 778(756) 779(757) 780(758) 781(759) 782(760) 783(761) 784(762) 785(763) 786(764) 787(765) 788(766) 790(768) 791(769) 792(770) 793(771) 794(772) 795(773) 796(774) 797(775) 798(776) 799(777) 800(778) 801(779) 802(780) 803(781) 804(782) 805(783) 806(784) 808(785) 809(786) 810(787) 811(788) 812(789) 813(790) 814(791) 815(792) 816(793) 817(794) 818(795) 819(796) 820(797) 821(798) 822(799) 823(800) 824(801) 825(802) 826(803) 827(804) 828(805) 829(806) 830(807) 831(808) 832(809) 833(810) 836(812) 837(813) 838(814) 839(815) 840(816) 841(817) 842(818) 843(819) 844(820) 845(821) 846(822) 847(823) 848(824) 850(826) 852(828) 853(829) 854(830) 855(831) 856(832) 857(833) 858(834) 859(835) 860(836) 861(837) 862(838) 863(839) 864(840) 865(841) 866(842) 867(843) 868(844) 869(845) 870(846) 871(847) 875(851) 876(852) 877(853) 878(856) 879(857) 880(854) 881(855) 882(858) 883(859) 884(860) 884(862) 885(861) 887(863) 888(864) 889(865) 890(866) 891(867) 892(868) 893(869) 894(870) 895(871) 897(873) 898(874) 899(875) 901(877) 902(878) 903(879) 904(880) 906(882) 907(883) 908(884) 909(885) 910(886) 911(887) 912(888) 914(890) 915(891) 916(892) 917(893) 918(894) 919(895) 920(896) 921(897) 923(898) 924(899) 925(900) 926(901) 927(902) 928(903) 929(904) 930(905) 931(906) 932(907) 933(908) 934(909) 935(910) 936(911) 937(912) 938(913) 939(914) 941(916) 942(917) 943(918) 944(919) 945(920) 946(921) 947(922) 948(923) 949(924) 950(925) 951(926) 952(927) 953(928) 954(929) 955(930) 956(931) 958(933) 959(934) 960(935) 961(936) 962(937) 963(938) 964(939) 966(941) 967(942) 968(943) 969(944) 970(945) 971(946) 972(947) 973(948) 974(949) 976(951) 977(952) 978(953) 979(954) 980(955) 981(956) 982(957) 983(958) 984(959) 985(960) 986(961) 987(962) 988(963) 989(964) 990(965) 991(966) 992(967) 993(968) 994(969) 995(970) 996(971) 998(972) 999(974) 1000(975) 1001(976) 1002(977) 1003(978) 1004(979) 1005(980) 1006(981) 1007(982) 1008(983) 1009(984) 1010(985) 1011(986) 1012(987) 1013(988) 1014(989) 1015(990) 1016(991) 1017(992) 1018(993) 1019(994) 1020(995) 1021(996) 1022(997) 1024(999) 1025(1000) 1026(1001) 1027(1002) 1028(1003) 1029(1004) 1030(1005) 1031(1006) 1032(1007) 1033(1008) 1034(1009) 1036(1010) 1037(1011) 1038(1012) 1039(1013) 1040(1014) 1041(1015) 1042(1016) 1043(1017) 1044(1018) 1045(1019) 1046(1020) 1047(1021) 1048(1022) 1049(1023) 1050(1024) 1051(1025) 1052(1026) 1053(1027) 1054(1028) 1055(1029) 1056(1030) 1057(1031) 1058(1032) 1059(1033) 1060(1034) 1061(1035) 1062(1036) 1063(1037) 1064(1038) 1065(1039) 1066(1040) 1067(1041) 1068(1042) 1069(1043) 1072(1045) 1073(1046) 1074(1047) 1076(1049) 1077(1050) 1078(1051) 1079(1052) 1080(1053) 1081(1054) 1082(1055) 1083(1056) 1084(1057) 1085(1058) 1086(1059) 1087(1060) 1088(1061) 1089(1062) 1090(1065) 1091(1063) 1092(1064) 1093(1066) 1094(1067) 1095(1068) 1096(1069) 1097(1070) 1098(1071) 1099(1073) 1103(1076) 1104(1077) 1105(1078) 1106(1079) 1107(1080) 1108(1081) 1109(1082) 1110(1083) 1111(1084) 1112(1085) 1113(1086) 1114(1087) 1115(1088) 1116(1089) 1117(1090) 1118(1091) 1119(1092) 1120(1093) 1121(1095) 1122(1094) 1123(1096) 1124(1097) 1125(1098) 1127(1100) 1129(1102) 1130(1103) 1131(1104) 1132(1105) 1133(1106) 1134(1107) 1135(1108) 1136(1109) 1137(1110) 1138(1111) 1139(1112) 1140(1113) 1141(1114) 1142(1115) 1143(1116) 1144(1117) 1145(1118) 1146(1119) 1147(1120) 1148(1121) 1149(1122) 1151(1124) 1152(1125) 1153(1126) 1154(1127) 1155(1128) 1156(1129) 1157(1130) 1158(1131) 1159(1132) 1160(1133) 1161(1134) 1163(1136) 1164(1137) 1165(1138) 1166(1139) 1167(1140) 1168(1141) 1169(1142) 1170(1143) 1171(1144) 1171(1145) 1173(1146) 1174(1147) 1175(1148) 1176(1149) 1177(1150) 1178(1151) 1179(1152) 1180(1153) 1181(1154) 1182(1155) 1183(1156) 1184(1157) 1185(1158) 1186(1159) 1187(1160) 1188(1161) 1189(1162) 1190(1163) 1191(1164) 1192(1165) 1193(1166) 1194(1167) 1195(1168) 1196(1169) 1197(1170) 1198(1171) 1199(1172) 1200(1173) 1201(1174) 1202(1175) 1203(1176) 1204(1177) 1205(1178) 1206(1179) 1207(1180) 1208(1181) 1209(1182) 1210(1183) 1211(1184) 1212(1185) 1213(1186) 1214(1187) 1215(1188) 1216(1189) 1217(1190) 1218(1191) 1219(1192) 1220(1193) 1221(1194) 1222(1195) 1223(1196) 1224(1197) 1225(1198) 1226(1199) 1227(1200) 1228(1201) 1229(1202) 1230(1203) 1231(1204) 1232(1205) 1233(1206) 1234(1207) 1235(1208) 1236(1210) 1237(1209) 1238(1211) 1239(1212) 1240(1213) 1241(1214) 1242(1215) 1243(1216) 1244(1217) 1245(1218) 1246(1219) 1247(1220) 1248(1221) 1249(1222) 1250(1223) 1251(1224) 1252(1225) 1253(1226) 1254(1227) 1255(1228) 1256(1229) 1257(1230) 1258(1231) 1259(1232) 1260(1233) 1261(1234) 1262(1235) 1263(1236) 1264(1237) 1265(1238) 1266(1239) 1267(1240) 1268(1241) 1269(1242) 1270(1248) 1271(1243) 1272(1244) 1273(1245) 1274(1246) 1275(1247) 1276(1249) 1277(1250) 1278(1251) 1279(1252) 1280(1254) 1281(1255) 1282(1256) 1283(1253) 1284(1257) 1285(1258) 1286(1259) 1287(1260) 1288(1261( 1289(1267) 1290(1262) 1291(1263) 1292(1264) 1293(1265) 1294(1266) 1295(1268) 1296(1269) 1297(1270) 1298(1271) 1299(1272) 1300(1273) 1301(1274) 1302(1275) 1303(1276) 1304(1277) 1305(1278) 1306(1279) 1307(1280) 1308(1281) 1309(1282) 1310(1283) 1311(1284) 1312(1285) 1313(1286) 1314(1287) 1315(1288) 1316(1289) 1317(1290) 1318(1291) 1319(1292) 1320(1293) 1321(1294) 1322(1295) 1323(1296) 1324(1297) 1325(1298) 1326(1299) 1327(1300) 1328(1301) 1329(1302) 1330(1303) 1331(1304) 1332(1305) 1333(1306) 1335(1307) 1335(1308) 1336(1309) 1337(1310) 1338(1311) 1339(1312) 1340(1313) 1341(1314) 1342(1315) 1343(1316) 1344(1217) 1345(1318) 1346(1319) 1347(1320) 1348(1321) 1349(1322) 1350(1324) 1351(1323) 1352(1325) 1353(1326) 1354(1327) 1355(1328) 1356(1329) 1357(1330) 1358(1331) 1359(1332) 1360(1333) 1361(1334) 1362(1335) 1363(1336) 1364(1337) 1365(1338) 1366(1339) 1367(1340) 1368(1341) 1369(1342) 1370(1343) 1371(1344) 1372(1345) 1373(1346) 1374(1347) 1375(1348) 1376(1349) 1377(1350) 1378(1351) 1379(1352) 1380(1353) 1381(1354) 1382(1355) 1383(1356) 1384(1357) 1386(1359) 1387(1360) 1388(1361) 1389(1362) 1390(1363) 1391(1364) 1392(1365) 1393(1366) 1394(1367) 1395(1368) 1396(1369) 1397(1370) 1398(1371) 1399(1372) 1400(1373) 1402(1375) 1403(1376) 1404(1377) 1405(1378) 1406(1379) 1407(1380) 1408(1381) 1409(1382) 1410(1383) 1411(1384) 1412(1385) 1413(1386) 1414(1387) 1415(1388) 1416(1389) 1417(1390) 1418(1391) 1419(1392) 1420(1393) 1421(1394) 1422(1395) 1423(1396) 1425(1398) 1426(1399) 1427(1400) 1428(1401) 1429(1402) 1430(1403) 1431(1404) 1432(1405) 1433(1406) 1434(1407) 1435(1408) 1436(1409) 1437(1411) 1438(1410) 1439(1412) 1440(1413) 1441(1414) 1442(1415) 1443(1416) 1444(1417) 1445(1418) 1446(1419) 1447(1420) 1448(1421) 1449(1422) 1450(1423) 1451(1424) 1452(1425) 1453(1426) 1454(1427) 1455(1428) 1456(1429) 1457(1430) 1458(1431) 1459(1432) 1460(1433) 1461(1434) 1462(1435) 1463(1436) 1464(1437) 1465(1438) 1466(1439) 1467(1440) 1468(1441) 1469(1442) 1470(1443) 1471(1445) 1472(1446) 1473(1444) 1474(1447) 1475(1448) 1476(1449) 1477(1450) 1478(1452) 1479(1451) 1480(1453) 1481(1454) 1482(1455) 1483(1456) 1484(1457) 1485(1458) 1486(1459) 1487(1460) 1488(1461) 1489(1462) 1490(1463) 1491(1464) 1492(1465) 1493(1466) 1494(1467) 1495(1468) 1496(1469) 1497(1470) 1498(1471) 1499(1472) 1500(1473) 1501(1474) 1502(1475) 1503(1476) 1505(1477) 1507(1478) 1508(1479) 1509(1480) 1510(1481) 1511(1482) 1512(1484) 1513(1483) 1514(1485) 1515(1486) 1516(1487) 1517(1488) 1518(1489) 1519(1490) 1520(1491) 1521(1492) 1522(1493) 1523(1494) 1524(1495) 1526(1497) 1527(1498) 1528(1499) 1529(1500) 1530(1501) 1531(1502) 1532(1503) 1533(1504) 1534(1505) 1535(1506) 1536(1507) 1538(1509) 1539(1510) 1540(1511) 1541(1512) 1542(1513) 1543(1514) 1544(1515) 1545(1516) 1547(1518) 1548(1519) 1549(1520) 1550(1521) 1551(1522) 1552(1523) 1554(1525) 1555(1526) 1556(1527) 1557(1528) 1558(1529) 1559(1530) 1560(1531) 1561(1532) 1562(1533) 1563(1534) 1564(1535) 1565(1536) 1566(1537) 1567(1538) 1568(1539) 1569(1540) 1570(1541) 1571(1542) 1572(1543) 1573(1544) 1574(1545) 1575(1546) 1576(1547) 1577(1548) 1578(1549) 1579(1550) 1580(1551) 1581(1552) 1582(1553) 1583(1554) 1584(1555) 1585(1556) 1586(1557) 1587(1558) 1588(1559) 1589(1560) 1590(1561) 1591(1562) 1592(1563) 1593(1564) 1594(1565) 1595(1566) 1596(1568) 1597(1567) 1598(1569) 1599(1570) 1600(1571) 1601(1572) 1602(1573) 1603(1574) 1604(1575) 1605(1576) 1606(1577) 1607(1578) 1608(1579) 1609(1580) 1610(1588) 1611(1581) 1612(1582) 1613(1583) 1614(1584) 1615(1585) 1616(1586) 1617(1587) 1618(1589) 1619(1590) 1621(1592) 1622(1593) 1623(1594) 1624(1595) 1625(1596) 1626(1597) 1627(1598) 1629(1600) 1630(1601) 1631(1602) 1632(1603) 1633(1604) 1634(1605) 1635(1606) 1636(1607) 1637(1608) 1638(1609) 1639(1610) 1640(1611) 1641(1612) 1642(1613) 1643(1614) 1644(1615) 1645(1616) 1646(1617) 1647(1618) 1648(1619) 1649(1620) 1650(1622) 1651(1621) 1652(1623) 1653(1624) 1654(1625) 1655(1626) 1656(1627) 1657(1628) 1658(1629) 1659(1630) 1660(1631) 1661(1632) 1662(1633) 1663(1634) 1664(1635) 1665(1636) 1666(1637) 1668(1639) 1669(1640) 1670(1641) 1671(1642) 1672(1643) 1673(1644) 1674(1645) 1675(1646) 1676(1647) 1677(1648) 1678(1649) 1679(1650) 1680(1651) 1681(1652) 1682(1653) 1683(1654) 1684(1655) 1685(1656) 1686(1657) 1687(1658) 1688(1659) 1689(1660) 1690(1661) 1691(1662) 1692(1663) 1693(1664) 1694(1665) 1695(1666) 1696(1667) 1698(1669) 1699(1670) 1700(1671) 1701(1672) 1702(1673) 1703(1674) 1704(1675) 1705(1676) 1706(1677) 1707(1678) 1708(1679) 1709(1680) 1710(1681) 1711(1682) 1712(1683) 1713(1684) 1714(1685) 1715(1686) 1716(1687) 1717(1688) 1718(1689) 1719(1690) 1720(1691) 1721(1692) 1722(1693) 1723(1694) 1725(1696) 1726(1697) 1727(1698) 1729(1699) 1730(1700) 1731(1701) 1732(1702) 1733(1703) 1735(1705) 1736(1706) 1737(1707) 1738(1708) 1739(1709) 1740(1710) 1741(1712) 1742(1711) 1743(1713) 1744(1714) 1745(1715) 1746(1716) 1747(1717) 1748(1718) 1749(1719) 1751(1720) 1752(1721) 1754(1723) 1755(1725) 1756(1724) 1757(1726) 1758(1727) 1759(1728) 1761(1729) 1762(1730) 1763(1731) 1764(1732) 1765(1733) 1766(1735) 1768(1737) 1769(1738) 1770(1739) 1771(1740) 1772(1741) 1773(1742) 1774(1743) 1775(1744) 1776(1745) 1777(1746) 1778(1747) 1779(1748) 1780(1749) 1781(1750) 1783(1752) 1785(1754) 1786(1756) 1787(1757) 1788(1758) 1790(1760) 1791(1761) 1792(1762) 1793(1763) 1794(1764) 1795(1765) 1796(1766) 1797(1767) 1798(1768) 1799(1769) 1800(1770) 1801(1771) 1802(1773) 1803(1774) 1804(1775) 1805(1776) 1807(1778) 1808(1779) 1809(1780) 1810(1781) 1811(1782) 1814(1786) 1815(1787) 1816(1788) 1817(1789) 1818(1790) 1819(1791) 1820(1792) 1820(1818) 1821(1793) 1822(1794) 1823(1795) 1824(1796) 1825(1797) 1826(1798) 1827(1799) 1829(1802) 1830(1803) 1831(1804) 1832(1806) 1833(1808) 1834(1809) 1835(1810) 1836(1811) 1837(1812) 1838(1813) 1839(1815) 1840(1816) 1841(1817) 1843(1819) 1844(1821) 1845(1822) 1846(1823) 1848(1825) 1849(1826) 1100(10740) 1101(1073)