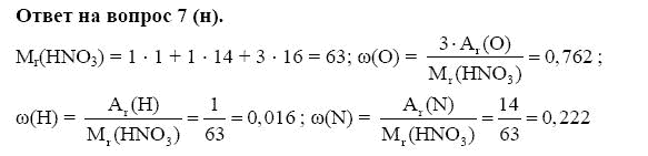
Решения домашних заданий по химии 8 класс Габриелян О.С. 7(n) упражнение


Дисциплина: Химия
Класс: 8 класс
Автор: Габриелян О.С. Год издания: 2002-2005-2011

Перейти к упражнению

1(c) 2(c) 3(c) 4(c) 5(c)1(c) 2(c) 3(c) 4(c) 5(c) 6(c)1(c) 2(c) 3(c) 4(c)1(c) 2(c) 3(c) 4(c) 5(c) 6(c)1(c) 2(c) 3(c) 4(c) 5(c) 6(c) 7(c)1(1) 2(2) 3(3) 4(4) 5(5)1(1) 2(2) 3(3) 4(4) 5(5) 6(6)1(1) 2(2) 3(3) 4(4) 5(5) 6(6) 7(7)1(1) 2(2) 3(3) 4(4) 5(5)1(1) 2(2) 3(3) 4(4) 5(n)1(1) 2(2) 3(3) 4(4)1(1) 2(2) 3(3)1(1) 2(2) 3(3) 4(4) 5(5)1(1) 2(2) 3(3) 4(4) 5(5)1(1) 2(2) 3(3) 4(4) 5(5)1(1) 2(2) 3(3) 4(n) 5(n)1(1) 2(2) 3(3) 4(4) 5(5) 6(6)1(1) 2(2) 3(3) 4(4) 5(5) 6(6)1(1) 2(2) 3(3) 4(4) 5(5)1(1) 2(2) 3(3) 4(4) 5(5)1(1) 2(2) 3(3)1(1) 2(2) 3(3) 4(4) 5(5) 6(6)1(1) 2(2) 3(3) 4(4)1(1) 2(2) 3(3) 4(4) 5(5) 6(6) 7(7)1(n) 2(n) 3(n) 4(n) 5(n) 6(n)1(n) 2(n) 3(n) 4(n) 5(n) 6(n) 7(n) 8(n)1(n) 2(n) 3(n) 4(n) 5(n)1(n) 2(n) 3(n) 4(n) 5(n) 6(n)1(n) 2(n) 3(n) 4(n) 5(n)1(1) 2(2) 3(3) 4(4) 5(5) 6(6)1(1) 2(2) 3(3) 4(4) 5(5) 6(6)1(1) 2(2) 3(3) 4(4)1(1) 2(2) 3(3) 4(4) 5(5)1 2 31 21 2 31 2 3 41 2 3 4opyt1(1) 2(2) 3(3) 4(4) 5(5) 6(6) 7(7)1(1) 2(c) 2(3) 3(4) 4(5) 5(6)1(1) 2(2) 3(3) 4(4) 5(5) 6(6)1(1) 2(2) 3(3) 4(4) 5(5)1(1) 2(2) 3(3) 4(4) 5(5) 6(6)1(1) 2(2) 3(3) 4(4) 5(5)1(1) 2(2) 3(3) 4(c) 4(n) 5(5)1(1) 2(2) 3(3) 4(4) 5(5)1(1) 2(2) 3(3) 4(4) 5(5)1(1) 2(2) 3(3) 4(4) 5(5) 6(6) 7(7) 8(8)1(1) 2(2) 3(3) 4(4) 5(5) 6(6) 7(7) 8(8)1 2 3 41 2 31 2 3 411(1) 2(2) 3(3) 4(4) 5(5)1(1) 2(2) 3(3) 4(4)1(1) 2(2) 3(3) 4(4) 5(5) 6(6) 7(7)1(c) 2(c) 3(c) 4(c)1(1) 2(2) 3(3) 4(4)1(1) 2(2) 3(2) 4(n) 5(4)1(1) 2(2) 3(3) 4(4)1(1) 2(2) 3(3) 4(4) 5(5)1(1) 2(2) 3(3) 4(4) 5(5) 6(6)1(1) 2(2) 3(3) 4(4) 5(5) 6(6)1(1) 2(2) 3(3) 4(4) 5(5) 6(6)