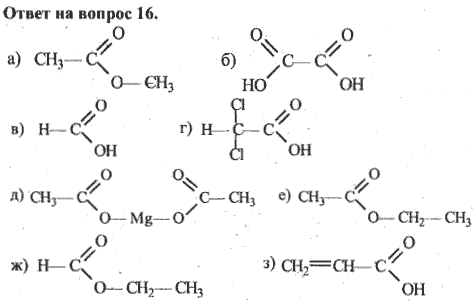
Решения домашних заданий по химии 10 класс Габриелян О.С., Маскаев Ф.Н., Пономарев С.Ю., Теренин В.И. 16 упражнение


Дисциплина: Химия
Класс: 10 класс
Автор: Габриелян О.С., Маскаев Ф.Н., Пономарев С.Ю., Теренин В.И. Год издания: 2002

Перейти к упражнению

1 21 2 31 2 31 2 31 2 31 2 3 41 2 3 4 5 611 2 31 2 31 21 2 3 4 51 21 2 3 4 5 6 71 2 3 41 2 3 41 2 3 4 5 6 7 8 9 10 111 2 3 4 5 6 7 8 9 10 11 121 2 3 4 5 6 7 8 91 2 3 4 5 6 7 81 2 3 4 5 61 2 3 41 2 3 4 5 6 7 8 91 2 3 4 5 6 7 8 9 10 11 12 13 14 15 161 2 3 41 2 3 4 5 6 7 8 9 10 11 12 13 141 2 3 4 5 6 7 8 9 10 11 12 13 14 15 16 17 181 2 3 4 5 6 7 8 9 10 11 121 2 3 4 5 61 2 3 4 5 6 7 8 9 10 111 2 3 4 51 2 3 4 5 6 7 8 9 101 2 3 4 5 6 71 2 3 4 5 6 7 8 9 101 2 3 4 5 61 2 3 4 5 6 71 2 3 4 5 6 7 8 9 101 2 3 4 5 7 8 9 10 111 2 3 4 5 6 7 8 9 10 11 12 13 14 15