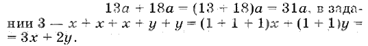
Решения домашних заданий по математике 5 класс Муравин, Муравина 313 упражнение


Дисциплина: Математика
Класс: 5 класс
Автор: Муравин, Муравина

Перейти к упражнению

Гл. 1 п. 1 Гл. 1 п. 4 Гл. 1 п. 5 Гл. 2 п. 11 Гл. 3 п. 13 Гл. 4 п. 18 Гл. 4 п. 20 Гл. 5 п. 23 Гл. 5 п. 26 Гл. 5 п. 27 Гл. 5 п. 28 Гл. 5 п. 29 Гл. 6 Арифметические действия Игра Кто хочет стать миллионером Гл. 6 Различные системы счисления Игра Кто хочет стать миллионерГл. 3 п. 13.1 2 3 4 5 6 7 8 9 10 11 Итоговая контрольная работаГл. 1 п. 1 Гл. 1 п. 2 Гл. 1 п. 3 Гл. 1 п. 4 Гл. 2 п. 10 Гл. 2 п. 8 Гл. 3 п. 12 Гл. 3 п. 14 Гл. 4 п. 15 Гл. 4 п. 16 Гл. 4 п. 17 Гл. 4 п. 19 Гл. 5 п. 21 Гл. 5 п. 23 Гл. 5 п. 24 Гл. 5 п. 25 Гл. 5 п. 29 Гл. 5 п. 3018 26 72 89 91 116 121 122 123 124 184 209 214 215 221 224 229 250 305 311 312 315Гл. 1 п. 1 Гл. 1 п. 2 Гл. 1 п. 3 Гл. 1 п. 4 Гл. 1 п. 6 Гл. 2 п. 8 Гл. 3 п. 12 Гл. 4 п. 15 Гл. 4 п. 18 Гл. 4 п. 20 Гл. 5 п. 21 Гл. 5 п. 23 Гл. 5 п. 25 Гл. 5 п. 26 Гл. 6 Геометрический материал Гл. 6-10 Проценты Гл. 6-2 Различные системы счисления Гл. 6-3 Различные системы счисления Гл. 6-4 Сравнение и округление чисел Гл. 6-5 Сравнение и округление чисел Гл. 6-6 Арифметические действия Гл. 6-7 Арифметические действия Гл. 6-8 Арифметические действия Гл. 6-9 Арифметические действияГл. 5 п. 22Гл. 1 п. 1 Гл. 1 п. 2 Гл. 2 п. 10 Гл. 2 п. 11 Гл. 2 п. 7 Гл. 2 п. 8 Гл. 2 п. 9 Гл. 3 п. 12 Гл. 3 п. 13 Гл. 4 п. 16 Гл. 4 п. 18 Гл. 4 п. 20 Гл. 5 п. 21 Гл. 5 п. 22 Гл. 5 п. 23 Гл. 5 п. 24 Гл. 5 п. 25 Гл. 5 п. 27 Гл. 5 п. 28 Гл. 5 п. 29Гл. 1 п. 1 Гл. 1 п. 2 Гл. 1 п. 3 Гл. 1 п. 4 Гл. 1 п. 6 Гл. 2 п. 7 Гл. 2 п. 8 Гл. 2 п. 9 Гл. 3 п. 12 Гл. 3 п. 13 Гл. 3 п. 14 Гл. 4 п. 15 Гл. 4 п. 16 Гл. 4 п. 18 Гл. 4 п. 19 Гл. 4 п. 20 Гл. 5 п. 21 Гл. 5 п. 22 Гл. 5 п. 23 Гл. 5 п. 24 Гл. 5 п. 25 Гл. 5 п. 26 Гл. 5 п. 27 Гл. 5 п. 28 Гл. 5 п. 29 Гл. 5 п. 30 Гл. 6 Геометрический материал Гл. 6-4 Различные системы счисления Гл. 6-5 Различные системы счисления Гл. 6-6 Сравнение и округление чисел Гл. 6-8 Арифметические действия Гл. 6-9 Арифметические действия Гл. 6-10 Арифметические действия Гл. 6-11 Арифметические действия Гл. 6-12 Арифметические действия Гл. 6-13 Проценты Гл. 6-14 Проценты Гл. 6-15 Буквенные выражения, формулы и уравнения