Решения домашних заданий по алгебре 8 класс Муравин, Муравин, Муравина 272 упражнение


Дисциплина: Алгебра
Класс: 8 класс
Автор: Муравин, Муравин, Муравина

Перейти к упражнению

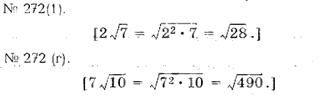
1 2 3 4 51 3 41 2 3 4 5 6 Итоговая контрольная работа Пробная контрольная работа§ 1 п. 1 § 1 п. 2 § 2 п. 6 § 2 п. 7,8 § 3 п. 10 § 4 п. 12 § 4 п. 13 § 5 п. 15 § 6 п. 19 § 6 п. 20 § 7 п. 22 § 7 п. 25 § 8 п. 26 Гл. 5 п. 28§ 2 п. 3 § 2 п. 7,8 § 4 п. 12 § 7 п. 25 § 8 п. 26 Гл. 6 п. 30 Гл. 6 п. 32 Гл. 6 п. 33§ 2 п. 4 § 2 п. 6 § 2 п. 7,8 § 4 п. 11 § 4 п. 12 § 5 п. 15 § 6 п. 18 § 7 п. 2515 18 27 30 82 83 84 134 136 147 152 153 199 201 210 217 218 228 236 238 240 242 246 250 251 255 256 257 263 264 265 266 268 269 270 272 276 282 287 301 310 315 322 328 329 330 333 335 336 337 338 339 340 343 359 362 367 378 386 387 388 392 396 408 410 413