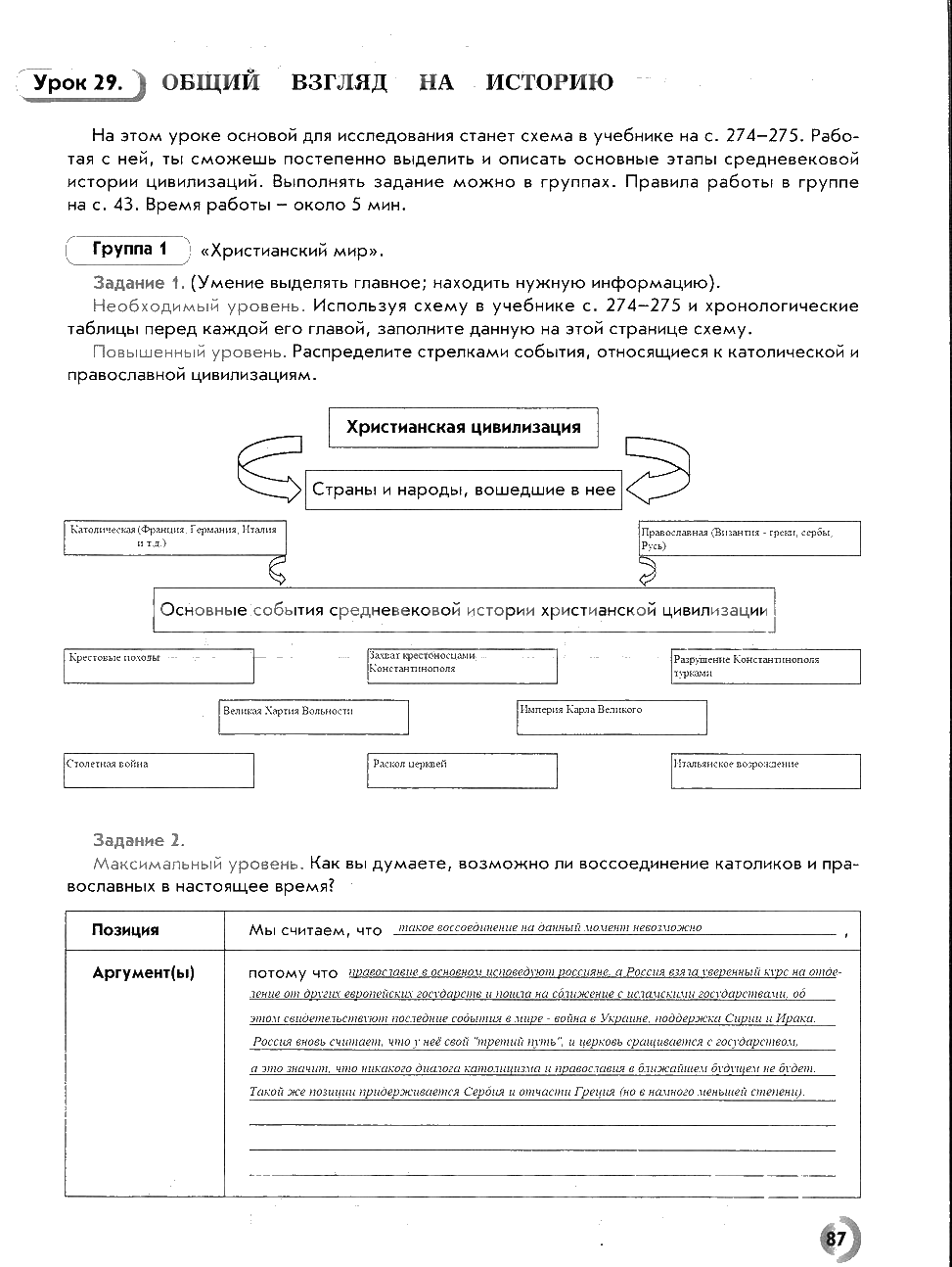
Решения домашних заданий по истории 6 класс Данилов, Давыдова 87 упражнение рабочая тетрадь
Решебник: рабочая тетрадь |
| Дисциплина: История |
| Класс: 6 класс |
| Автор: Данилов, Давыдова |
|
/* */
ВЫБЕРИТЕ ПРОФЕССИОНАЛЬНУЮ ПОМОЩЬ!
Решебник: рабочая тетрадь |
| Дисциплина: История |
| Класс: 6 класс |
| Автор: Данилов, Давыдова |
|