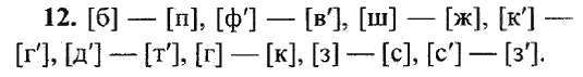
Решения домашних заданий по русскому языку 7 класс Львова С.И., Львов В.В. 12 упражнение
|
| Дисциплина: Русский язык |
| Класс: 7 класс |
| Автор: Львова С.И., Львов В.В. |
|
Перейти к упражнению
-
6 12 15 16 19 21 22 24 25 30 32 33 35 36 37 38 40 41 42 43 44 45 46 47 51 52 54 55 57 58 60 64 66 73 80 82 83 84 90 96 97 102 104 106 113 116 117 120 122 123 124 125 126 127 130 131 132 133 134 135 136 138 142 144 146 149 150 154 156 157 159 160 162 164 165 166 169 170 171 174 175 177 187 189 192 195 197 199 200 202 203 209 220 223 229 232 234 237 251 252 262 272 273 275 282 283 286 292 293 295 296 298 299 300 304 309 310 311 312 314 317 322 327 329 330 331 332 335 345 347 366 367 374 375 376 377 379 381 382 385 386 387 388 390 391 392 393 394 396 397 399 400 401 402 403 406 407 409 410 411 413 414 415 416 419 421 422 424 426 427 428 429 431 432 433 434 435 436 437 438 440 441 442 444 445 446 447 448 449 450 451 453 455 456 457 458 460 461 464 465 466 467 470 471 472 473 474 475 476 477 479 483 485 486 487 488 489 490 491 492 493 495 497 503 504 506 507 509 511 514 515 517 520 522 525 527 530 533 534 540 541 542 545 546 547 550 551 554 555 557 558 559 560 561 562 563 564 565 566 568 572 579 581 584 585 586 587 588 589 590 592 593 594 596 597 600 603 604 605 609 613 614 615 616 617 618 620 622 623 624 625 627 628 629 635 639 640 642 643 646 648 649 650 651 652 653 654 655 656 657 658 660 661 662 663 664 665 666 668 669 670 671 674 675 676 677 679 685 686 688 689 691 692 693 694 695 696 701 707 709 713 718 719 720 721 722 723 724 725 730 732 733 734 735 736 739 740