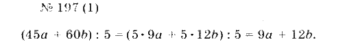
Решения домашних заданий по математике 6 класс Муравин, Муравина 197 упражнение
|
| Дисциплина: Математика |
| Класс: 6 класс |
| Автор: Муравин, Муравина |
|
Перейти к упражнению
-
3 4 6 7 8 9 10 11 12 13 14 15 17 18 19 20 21 22 23 24 25 44 45 46 47 48 49 52 56 58 61 66 67 68 69 74 75 76 77 78 79 80 81 82 87 90 91 94 95 96 101 102 103 104 105 106 110 112 113 114 115 119 120 121 122 126 127 130 133 134 135 136 137 138 148 149 150 151 166 167 168 169 170 173 174 175 176 177 193 194 195 196 197 198 199 200 201 202 203 211 212 213 224 233 240 242 243 244 245 251 253 255 256 257 258 259 260 270 271 272 273 276 279 281 282 283 284 285 286 287 288 290 293 301 305 306 309 310 311 312 313 319 320 321 322 326 357 358 359 370 380 381 382 383 384 395 396 397 398 399 400 401 402 403 404 405 406 407 416 422 426 432 433 439 440 441 444 445 447 448 449 450 451 455 463 464 465 476 479 480 483 484 485 486 487 506 508 509 512 514 515 516 517 518 523 527 530 543 544 545 546 559 561 562 563 564 565 566 567 568 570 571 572 573 574 575 576 577 578 579 580 581 582 583 584 585 586 587 588 589 590 591 592 593 594 596 599 602 603 606 607 608 609 610 611 612 613 614 615 616 617 620 621 622 623 624 625 626 627 628 631 632 633 636 637 638 639 642 643 647 648 649 650 651 652 653 654 667 668 669 671 672 675 676 677 678 679 680 683 684 687 694 696 698 700 701 702 719 720 722 728 731 736 737 738 739 740 742 743 747 748 749 750 751 753 754 760 763 772 778 782 783 784 785 789 793 794 795 796 797 798 801 802 804 805 807 809 810 811 812 813 815 819 821 822 823 834 840 844 845 846 867 868 869 873 874 875 877 878 881 884 885 889 890 891 896 899 900 901 902 909 910 911 920 921 922 923 924 925 928 929 1 2 3 4 5 6 7 8 9 10 Итоговая контрольная работа Гл. 2 п. 11 Гл. 3 п. 14 Гл. 1 п. 5 Гл. 2 п. 10 Гл. 2 п. 6 Гл. 2 п. 7 Гл. 2 п. 8 Гл. 2 п. 9 Гл. 3 п. 14 Гл. 3 п. 15 Гл. 3 п. 16 Гл. 3 п. 17 Гл. 4 п. 18 Гл. 4 п. 19 Гл. 4 п. 20 Гл. 4 п. 22 Гл. 1 п. 3 Гл. 2 п. 7 Гл. 2 п. 8 Гл. 3 п. 13 Гл. 3 п. 14 Гл. 3 п. 16 Гл. 3 п. 17 Гл. 4 п. 18 Гл. 4 п. 19 Гл. 4 п. 20 Гл. 4 п. 22 Гл. 4 п. 23 Гл. 1 п. 1 Гл. 1 п. 2 Гл. 1 п. 3 Гл. 1 п. 4 Гл. 1 п. 5 Гл. 2 п. 10 Гл. 2 п. 11 Гл. 2 п. 6 Гл. 2 п. 7 Гл. 2 п. 8 Гл. 2 п. 9 Гл. 3 п. 12 Гл. 3 п. 13 Гл. 3 п. 14 Гл. 3 п. 15 Гл. 3 п. 16 Гл. 3 п. 17 Гл. 4 п. 18 Гл. 4 п. 19 Гл. 4 п. 20 Гл. 4 п. 21 Гл. 4 п. 22 Гл. 4 п. 24