Перейти к контенту

Написание диссертаций, дипломных и курсовых работ, рефератов

ВЫБЕРИТЕ ПРОФЕССИОНАЛЬНУЮ ПОМОЩЬ!

  • Тексты
    • Тесты ЕГЭ
    • Задания ЕГЭ
    • Домашние задания
    • Задачи по физике
  • Примеры работ
  • Форма заказа
  • Контакты

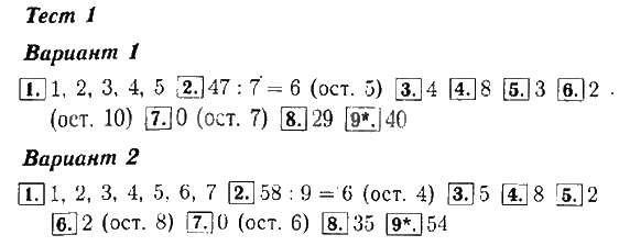
Решения домашних заданий по математике 3 класс Волкова Тест 1 упражнение


Дисциплина: Математика
Класс: 3 класс
Автор: Волкова

Перейти к упражнению

    1 2 Тест
1 2 3 Тест 1 Тест 21 2 Тест 1 Тест 21 2 3 Тест1 2 3 4 5 6 Тест 1 Тест 21 2 3 Тест 1 Тест 2 Тест 1 Тест 21 2 3 4 5 Тест 1 Тест 2 Тест 1 Тест 21 2 

Мы ВКонтакте


Переходи и прокачайся на 5+

Подписывайтесь на группу в Телеграм