Решения домашних заданий по русскому языку 7 класс Баландина Н.Ф., Дегтярёва К.В., Лебеденко С.О. 6 упражнение


Дисциплина: Русский язык
Класс: 7 класс
Автор: Баландина Н.Ф., Дегтярёва К.В., Лебеденко С.О.

Перейти к упражнению

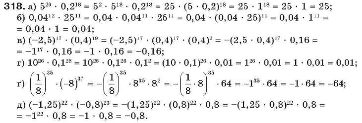
34 35 36 37 38 39 40 41 42 44 45 47 50 51 54 5556 57 59 60 61 62 63 64 65 67 68 71 7276 77 78 79 80 81 83 87 90 91 9294 95 96 97 98 99 100 101 102 105 106 107 109 110 111 113115 116 117 118 119 120 121 122 123 124 125 126 128158 159 160 161 163 164 166 167 168 171176 177 179 180 181 182 1841 2 3 4 5 6 7 9 10 11 12188 189 190 191 192 193 194 195 196 197 201 202207 208 209 210 211 212 215 219 221242 243 244 245 247 248 249 250 251 252 253259 260 261 262 263 264 265 266 267 268 269273 274 276 278 279 280300 301 302 303 304 306 307 308 309 310 311 3 7 9 10 1-2 11-12 13-14314 315 316 317 318 319 320 321 322 324 325 327 329 330 332 334336 337 338 339 340 341 342 343 345 346 347 350 351352 353 354 355 356 357 358 359 360 361 362 363 365 366 367 368 369 372374 375 376 377 378 379 380 381 383 387 388 389 390 391-392394 395 396 397 398 400 401 402 405 406 407 408 410 412413 414 415 416 417 418 420 421 424 427432 433 434 435 436 437 438 439 440 444 445 447 448 449 451 453455 457 458 459 460 461 462 469 466-467 1 4 5 6 7 10 12 13 14 17 18 19 2-3470 471 472 473 474 475 476 477 478 479 480 481 482 483 485 489491 492 493 494 495 496 497 498 499 500 501 502 503 505 508 511513 514 515 516 517 518 519 522 523526 527 528 529 530 531 532 533 534 536 539 3 4 6 9 10 1-2 13 14 16 17543 544 545 546 547 548 549 550 552 554 555 559 560 561 562 563 564 565 566 567 568 569 570 571 575 576 578 580 556-557582 583 584 585 586 587 588 589 590 591 592 593 594 596 597 598 599 603 604 605 607 600-601610 611 612 614 615 616 617 618 619 620 621 622 623 624 625 626 627 628 629 631 635 639 640 642648 649 650 654 655 656 659 660663 664 665 666 667 668 669 670 671 672 673 674 675 676 677 678 680 681 682 684 685 686689 690 691 692 693 695 696 695_2 1 13 17 18 19 2-3 4-5 6-8699 700 701 705 706708 709 710 712 713 714 716 717 719 720721 722 723 724 725 730 731 726-727 1 2 5 8 11 14 15 3-4 9-10132 133 134 135 136 137 138 139 140 141 142 144 146 147 148 149 150 151 155 156 157 1 3 4 5 7 8 16 11-12 13-14222 223 224 225 226 227 228 229 230 231 233 235 236 237 239 1 2 3 4 7 9 16 17 18 5-6283 284 285 286 287 288 289 290 291 292 294 295